Universidad del Zulia (LUZ)
Revista Venezolana de Gerencia (RVG)
Año 31 No. Especial 15, 2026, e31e1515
Enero-Junio
ISSN 1315-9984 / e-ISSN 2477-9423
Como citar: Barberan, N., Bastidas, T., y Yong, L. (2026). Educación, confianza y moral tributaria: análisis del sistema gubernamental y contribuyentes. Revista Venezolana De Gerencia, 31(Especial 15), e31e1515. https://doi.org/10.52080/rvgluz.31.e15.15
Educación, confianza y moral tributaria: análisis del sistema gubernamental y contribuyentes
Barberan, Nancy*
Bastidas, Tomas**
Yong, Linda***
Resumen
La moral tributaria es un componente esencial del cumplimiento fiscal voluntario y la sostenibilidad del sistema impositivo. En este marco, la educación y la confianza en el sistema gubernamental se consideran factores que influyen en la disposición ciudadana a cumplir sus obligaciones tributarias. Este estudio tuvo como objetivo analizar la relación entre ambas variables y la moral tributaria en contribuyentes de la provincia del Guayas, Ecuador. Se aplicó un enfoque cuantitativo, no experimental, correlacional y de corte transversal, con una muestra de 415 personas naturales calificados como contribuyentes activos. Los datos se obtuvieron mediante un cuestionario tipo Likert, validado por expertos y con un Alfa de Cronbach de 0,89. El análisis mediante regresión logística multivariante (95 % de confianza) reveló que solo la confianza en las leyes mantiene una relación significativa y negativa con la moral tributaria (p = 0,028), lo que sugiere una posible desconexión entre el marco legal y su aplicación percibida. En cambio, la educación y otras formas de confianza gubernamental no mostraron asociaciones relevantes. Se concluye que fortalecer la educación fiscal, la transparencia y la justicia institucional puede incrementar la moral tributaria y el cumplimiento voluntario.
Palabras clave: educación; moral tributaria; confianza; gobierno.
Recibido: 27.09.25 Aceptado: 10.11.25
* Universidad Católica de Santiago de Guayaquil. Contadora Pública Autorizada. Máster en Fiscalidad Internacional. Doctora en Administración Estratégica de Empresas. Servidora pública por 13 años en el Servicio de Rentas Internas. Experiencia como Consultora Tributaria por 11 años. Cuenta con 18 años de experiencia como docente universitaria. Email: nancy.barberan@cu.ucsg.edu.ec, njbarberan@hotmail.com.
** Universidad Politécnica de Valencia. Ingeniero en Telecomunicaciones. Máster en Telecomunicaciones con mención en Gestión Empresarial. Profesional en áreas técnicas por 22 años. Cuenta con 10 años de experiencia como docente universitario. Email: obascav@upv.edu.es, tom2978@gmail.com
*** Universidad Católica de Santiago de Guayaquil. Contadora Pública Autorizada. Máster en Tributación y Finanzas. Doctora en Ciencias contables y financieras. Experiencia como Contadora Independiente por 16 años y 17 años de experiencia como docente universitaria.
Education, trust and tax morale: analysis of the government system and taxpayers
Abstract
Tax morale is an essential component of voluntary tax compliance and the sustainability of the fiscal system. In this context, education and trust in the governmental system are considered key factors influencing citizens’ willingness to meet their tax obligations. This study aimed to analyze the relationship between these variables and tax morale among taxpayers in the province of Guayas, Ecuador. A quantitative, non-experimental, correlational, and cross-sectional approach was applied, using a sample of 415 individual taxpayers registered in the national tax system. Data were collected through a Likert-scale questionnaire, validated by experts and demonstrating Cronbach’s alpha reliability coefficient of 0.89. Statistical analysis was conducted using multivariate logistic regression with a 95% confidence level. Results indicate that only trust in the law shows a significant and negative relationship with tax morale (p = 0.028), suggesting a possible disconnection between the legal framework and its perceived enforcement or legitimacy. In contrast, education and other forms of institutional trust showed no statistically significant associations. The study concludes that strengthening tax education, institutional transparency, and perceptions of fairness are crucial strategies to enhance tax morale and foster voluntary compliance.
Keywords: education; tax morale; trust; government.
1. Introducción
La moral tributaria constituye un eje central para comprender el funcionamiento del sistema fiscal, pues refleja los valores y percepciones que orientan la relación entre ciudadanía y Estado. En este marco, la Administración Tributaria no solo debe asegurar la correcta aplicación del sistema impositivo, sino también fortalecer un entorno institucional basado en legitimidad, reciprocidad y justicia. El cumplimiento tributario, como advierte Ormeño (2017), es un fenómeno multidimensional influido por factores sociales, demográficos, políticos y contextuales, lo que demuestra que no se limita a una decisión técnica ni a la mera respuesta ante sanciones. La ética profesional de los servidores públicos y la calidad del servicio fiscal inciden directamente en la credibilidad institucional y en la disposición al cumplimiento voluntario. Así, la moral tributaria se erige como un recurso estratégico que reduce costos administrativos, mejora la recaudación y promueve una relación Estado-ciudadano más sólida y sostenible.
Gaetano (2019) menciona que aumentar el cumplimiento fiscal general y voluntario (confianza y moral) es más eficaz que el cumplimiento fiscal forzoso, por lo que se debe basar en compensar a los contribuyentes que cumplen con sus tributos de una forma honesta, de manera que la conciencia y moral tributaria son aceptadas por los contribuyentes como conceptos importantes para el cumplimiento de los deberes relacionados con la fiscalidad; dicho de otro modo, un contribuyente con plena conciencia fiscal y un alto nivel de moral tributaria tiene un alto nivel de cumplimiento (Gürçam y Turhan, 2019). Por tanto, el grado en que las personas consideran que el gobierno es responsable y lo satisfechas que están con el sistema político son factores que aumentan la moral tributaria (Davidescu et al., 2022).
En Ecuador, el bajo cumplimiento tributario constituye una problemática ya que existe una escasa cultura tributaria, reforzada por la falta de estudios en la materia y reformas tributarias frecuentes y el problema se agrava por factores relacionados con la moral tributaria tales como: edad, género, educación, corresponsabilidad, percepción del Estado y la normativa legal, representando una amenaza directa al bienestar colectivo y a la sostenibilidad fiscal del país, es así que los principales impuestos que generan ingresos al país en temas tributarios son: el Impuesto al Valor Agregado, Impuesto a la Renta, Impuesto a los Consumos Especiales e Impuesto a la Salida de Divisas (Rodríguez et al., 2022). La recaudación tributaria tuvo una variación negativa en el 2020 comparada con el periodo de enero a abril del año 2019; el Impuesto al Valor Agregado con -11,2%, Impuesto a la Renta con -19%, Impuesto a la Salida de Divisas con -4,2%, Impuesto a los Consumos Especiales con -10,3%, entre algunos de los ejemplos, preocupa al Estado por la recesión económica que está experimentando el mundo entero. En consecuencia, en el Ecuador se han realizado controles desde el 2016 acerca de la evasión tributaria centrada en empresas fantasmas que han ocultado la información real en las declaraciones tributarias (Sánchez et al., 2020). Según el Servicio de Rentas Internas (2021) para el ejercicio fiscal 2021, se ha recaudado con los contribuyentes perteneciente al grupo de personas naturales en Impuesto a la Renta USD 143,139.699 millones de dólares, de los cuales USD 37, 311.522 corresponden a la provincia del Guayas; es decir el 26% respecto del total; para el caso del Impuesto al Valor Agregado IVA se han recaudado USD 4,646,371.899 millones de dólares de los cuales USD 1,437,084,846 pertenecen a la provincia del Guayas; es decir el 31% respecto del total, siendo está provincia una de las más representativas del país.
2. Marco metodológico
Se utilizó un enfoque cuantitativo, de diseño no experimental, de corte transversal y alcance correlacional, se realizó un análisis descriptivo y de regresión logística multivariante; estará determinado a priori previo una varianza máxima de 50% considerando una distribución normal de la población. Se contempló un intervalo de confianza de 95% (1-b probabilidad de error) equivalente a una longitud aproximada Z = 1,96 y se considerará un error de estimación de 5% como el máximo dispuesto a admitir para el estudio, alcanzándose mediante una técnica de muestreo probabilística 384 unidades de annálisis, en consecuencia se obtubieron datos de 415 individuos,de una población de 77,715 cuyo criterio de sección son personas naturales nacionales o extranjeras que tienen un Registro Único de Contribuyentes, que realizan actividades económicas lícitas, que pueden o no estar obligadas a llevar contabilidad y que presentan declaraciones tributarias catalogados como contribuyentes especiales asi como también los que no tienen esta categoria de la provincia del Guayas.
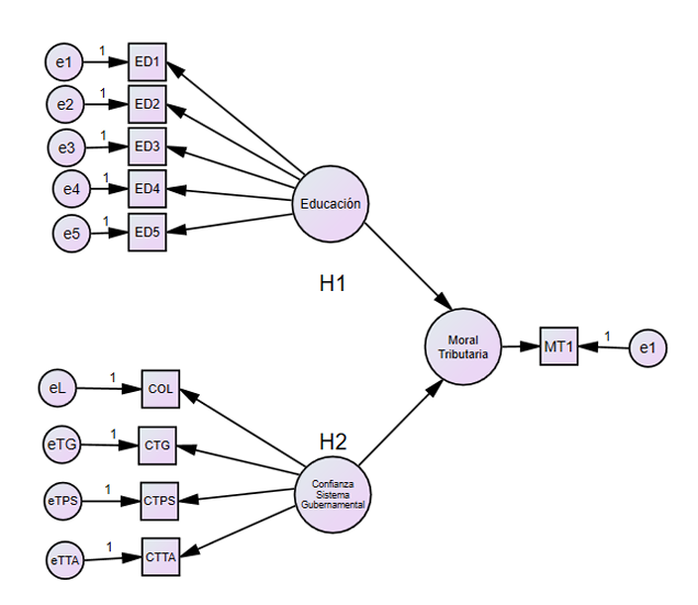
La regresión logística multivariante, es una técnica estadística adecuada para modelos donde la variable dependiente es dicotómica. En este caso, la variable analizada fue la moral tributaria, la cual se codificó como una variable binaria: alta moral tributaria (NO) y baja moral tributaria (SÍ). La regresión logística permite evaluar la probabilidad de que un evento ocurra, dado un conjunto de variables predictoras (Hosmer et al., 2013). La elección de la regresión logística se justifica por su capacidad para manejar asociaciones no lineales entre las variables independientes y la variable dependiente. Además, esta técnica es robusta frente a las violaciones de los supuestos de normalidad y homocedasticidad, que son críticos en otros métodos de regresión (Sperandei, 2014). La regresión logística también permite interpretar los resultados en términos de odds ratios, proporcionando una medida intuitiva de la fuerza y la dirección de las relaciones entre las variables (Heinze et al., 2018). El modelo analizado se muestra en el diagrama 1:
Diagrama 1
Moral tributaria y sus relaciones
Para medir la variable Educación se utilizó el instrumento de investigación propuesto por Gerstenblüth, Melgar y Pagano (2012) y Frey y Torgler (2007), donde establece como indicadores si: a) Finalizó la escuela primaria, b) No finalizó los estudios secundarios, c) Finalizó los estudios secundarios, d) No finalizó los estudios universitarios y e) Finalizó los estudios universitarios. Para medir la variable Confianza en el Sistema Gubernamental, se utilizó el instrumento de investigación propuesto por Fotiadis y Chatzoglou (2021), donde la confianza se mide por a) confianza en las leyes, b) confianza en el Gobierno, c) confianza en los servicios públicos y d) confianza en las autoridades tributarias. Finalmente, en el modelo, la variable dependiente la conforma la moral tributaria, que será medida con el instrumento puesto por Frey y Torgler (2007) y Mickiewicz, Rebmann y Sauka (2019), donde se determina si se justifica hacer trampas en el pago de impuestos cuando la persona tiene la oportunidad de hacerlo.
3. Teorías relacionas con la moral tributaria
Las variables de estudio fueron estudiadas bajo la Teoría de la Utilidad Esperada de Allingham y Sandmo (1972), que indica que los contribuyentes, por interés propio, eligen cuántos ingresos reportan a la autoridad tributaria, intercambiando los beneficios de la evasión (menores pagos de impuestos) contra los costos de la evasión (la posibilidad de ser atrapado y castigado). Es así, que a través del tiempo la OCDE (2013) ha identificado que factores institucionales y socioeconómicos, como el apoyo a la democracia, la edad, la confianza en el gobierno, el género, la afiliación religiosa y el nivel educativo impulsan la moral tributaria que es parte del comportamiento tributario de los contribuyentes.
Sapiei, Kasipilai y Eze (2014) señalan tres categorías determinantes de la fiscalidad: demográficas, económicas y de comportamiento. Walsh (2013) agrega factores como la disuasión, equidad, confianza institucional, complejidad normativa y rol gubernamental. Otros autores destacan que los factores no demográficos, especialmente la educación y la confianza en las instituciones, inciden significativamente en la moral tributaria (Maja et al., 2013; Crnogorac y Lago-Peñas, 2020).
Algunos países en desarrollo carecen de confianza en sus autoridades, a diferencia de los países desarrollados, donde la confianza garantiza el alto cumplimiento tributario (Kogler et al., 2013) y donde la moral tributaria juega un papel integral en la decisión de los empresarios de migrar a la clandestinidad, lo que conlleva definir que los países se beneficiarían si lograran elevar la moral fiscal, transparentando el gasto público y rindiendo cuentas en casos donde existe corrupción, tomando en consideración su economía (Berdiev y Saunoris, 2019; Torgler, 2012). En esa línea existen empresarios que operan en una economía informal, donde falta la justicia fiscal, la inestabilidad política y la corrupción, y tienden a tener una baja moral tributaria (Williams y Bezeredi, 2018).
Por otro lado, la cultura tributaria permite reafirmar valores, conocer normas jurídicas tributarias mediante la educación, orientada al fomento y enseñanza de la civilidad fiscal en la academia (Villasmil et al., 2018). Hlastec, Mumel y Hauptman (2023) indican que existe una relación significativa entre los valores personales y la cultura fiscal, siendo piedras angulares del comportamiento de cumplimiento tributario de un individuo. Puesto que a un país con mayor diversidad están asociados niveles bajos de moral tributaria, en términos de diferentes divisiones sociales, incluidos los ingresos, etnia, lengua o religión, es necesario resumir que se trata de valores culturales. Esto sugiere que la identificación social es importante para la forma en que las personas perciben su responsabilidad de pagar impuestos (Ten et al., 2023).
Existen tres tipos de cultura tributaria: aquella que responde a una norma obligatoria, a un acto voluntario y al logro de un beneficio. Los factores más importantes son los obligatorios (como considerar un delito no pagar los impuestos) y los de beneficio (porque afecta a los ingresos de la empresa). Por tanto, la cultura tributaria tiene un impacto significativo en la evasión tributaria (Quispe et al., 2020). En la cultura y conciencia tributaria es donde recae el mayor peso para el éxito de las políticas de Estado a nivel fiscal (Melville-Pincay, 2018). Yaguache, Pardo y Espejo (2018) señalaron que para fomentar la cultura tributaria se requiere de un trabajo conjunto entre la administración tributaria, la academia y la sociedad. Coronel, Lozada y Oblitas (2021) concluyeron que, a mayor cultura tributaria, se incrementa el cumplimiento tributario.
De hecho, cuando un Estado pretende maximizar el bienestar de la población, valiéndose de instrumentos fiscales como los tributos, necesita que la población manifieste un elevado grado de conciencia ética y cultura tributaria, que le permita comprender la importancia del pago de tributos y una adecuada disciplina en el cumplimiento de sus obligaciones tributarias (Cabrera y Reyes, 2018).
Para Castellón (2018), los países en estado de desarrollo deben asegurar un sistema de recaudación tributaria eficiente y socialmente justo, que garantice el cumplimiento del principio fundamental de la moral tributaria.
También Flores, Jordán y Parrales (2019) afirmaron que la relación que pueda existir entre los contribuyentes con las políticas tributarias y la evasión fiscal radica en la moral tributaria y la percepción del contribuyente sobre las acciones sociales y económicas del Estado para con la sociedad. La percepción de baja corrupción en diferentes niveles del poder ejecutivo (oficina del presidente, funcionarios del gobierno o autoridades fiscales) tiene un impacto significativo y positivo en la moral tributaria (Amadou et al., 2020). Entre los factores de evasión se tiene la desigualdad social, las políticas injustas, la escasa cultura tributaria, la corrupción e improvisación de funcionarios, una tasa impositiva alta, entre otras; en este contexto la evasión produce efectos como la insatisfacción ciudadana por los malos servicios públicos, escasez de recursos económicos del Estado y por ende la renuencia del ciudadano al pago de tributos; las cualidades de los buenos contribuyentes son una adecuada cultura tributaria, moral tributaria alta, nivel educativo y la religiosidad; mientras que las estrategias para disminuir la evasión son las multas, las recompensas, las auditorías permanentes y el uso de tecnologías de la información (Cellis et al., 2022)
Finalmente, para Gobena y Van Dijke (2016), las investigaciones realizadas en el área de la tributación han sido limitadas en territorios de economías emergentes, siendo común que se minimice la evasión tributaria, lo que es contrario al interés de la sociedad en general, y afecta negativamente la disponibilidad de bienes y servicios públicos (Gangl et al., 2015). En Ecuador, en los últimos años, de forma anual se han dado múltiples reformas tributarias, debilitando la seguridad jurídica y la confianza por parte de los contribuyentes en el sistema tributario, lo que deriva en prácticas de evasión tributaria, lo que podría conllevar incluso a temas penales o de cierre de actividades económicas (Sánchez et al., 2020). Además, el bajo nivel de cumplimiento de las obligaciones tributarias se asocia a diversos aspectos de la moral tributaria, como la edad, el género, el nivel educativo, la percepción de justicia y reciprocidad entre el Estado y el contribuyente, así como el riesgo percibido y la normativa vigente en un periodo determinado (Rodríguez et al., 2022).
4. Marco normativo fiscal del Ecuador
Según el Servicio de Rentas Internas (2021), las personas naturales son personas nacionales o extranjeras que realizan actividades económicas lícitas y pueden o no estar obligadas a llevar contabilidad, bajo ciertos parámetros establecidos en la normativa tributaria. Estas personas naturales pueden declarar sus tributos bajo el Régimen General y el Régimen Simplificado para Emprendedores y Negocios Populares (RIMPE).
La Ley de Régimen Tributario Interno (2023), en sus artículos 1 y 4, establece un impuesto a la renta global para personas naturales, nacionales o extranjeras con ingresos gravados. Según el artículo 97.3, quienes perciben ingresos brutos de hasta US$ 300.000 pertenecen al régimen RIMPE, dividido en negocios populares (hasta US$ 20.000) y emprendedores (hasta US$ 300.000). Los ingresos mayores a ese monto se incluyen en el régimen general, considerando ingresos gravados menos descuentos y devoluciones.
El artículo 97.4 de la Ley de Régimen Tributario Interno establece que diversas actividades deben liquidar el impuesto a la renta según su régimen: construcción, urbanización, servicios profesionales, transporte, actividades agropecuarias, comercialización de combustibles, sectores hidrocarburífero, minero, petroquímico, financiero y asegurador, así como la producción o importación de bienes gravados con impuestos especiales. También incluye ingresos por dividendos, capital o rendimientos financieros. Sin embargo, la percepción de estos ingresos no implica exclusión del Régimen Simplificado para Emprendedores y Negocios Populares.
En referencia al domicilio tributario de las personas naturales, es decir, donde están sujetas las recaudaciones de los tributos, el Código Tributario (2023) en su artículo 59 establece que es el lugar de su residencia habitual o donde ejerzan sus actividades económicas; aquel donde se encuentren sus bienes o se produzca el hecho generador. Según la Comisión Económica para América Latina y el Caribe (2021), a nivel de América Latina, el Impuesto a la Renta representa el 26.8% de las recaudaciones y el Impuesto al Valor Agregado representa el 46.2%. En complemento, según el Servicio de Rentas Internas (2021), para el ejercicio fiscal 2021, se ha recaudado con los contribuyentes pertenecientes al grupo de personas naturales en Impuesto a la Renta USD 143,139.699 millones de dólares, de los cuales USD 37,311.522 corresponden a la provincia del Guayas; es decir, el 26% respecto del total. Para el caso del Impuesto al Valor Agregado (IVA se han recaudado USD 4,646,371.899 millones de dólares, de los cuales USD 1,437,084,846 pertenecen a la provincia del Guayas; es decir, el 31% respecto del total. Este grupo de contribuyentes tiende a no llevar un control adecuado de sus ingresos y gastos y, en consecuencia, a realizar una incorrecta liquidación de impuestos.
En América Latina, la carga tributaria promedio aumentó del 16,5 % en 2000 al 20,8 % en 2018, destacando incrementos en Argentina y Ecuador. No obstante, persiste una brecha respecto a los países de la OCDE, cuyo promedio fue del 33,9 %, es decir, 13,1 puntos más. En Ecuador, se exigió el pago anticipado del impuesto a la renta en 2020, reflejado en el presupuesto estatal, con deducciones vinculadas a gastos de cuidado (alimentación, salud y educación). Sin embargo, la baja cultura tributaria y los trámites complejos dificultan su aplicación (CEPAL, 2021). Analizar la influencia de la educación y la confianza institucional en la moral tributaria resulta clave, dado que el gasto público en desarrollo económico incrementa el cumplimiento fiscal (Fuentes-Contreras et al., 2020).
5. Descripción de los contribuyentes y relaciones entre variables del estudio
En las Tabla 1 y Tabla 2 se muestran las variables demográficas de los participantes donde la mayor representación corresponde a las mujeres; así como también entre la edad de 20 a 40 años. Esta distribución refleja una tendencia hacia la participación de adultos jóvenes y de mediana edad en el estudio, lo que puede ser relevante al considerar las diferencias generacionales en la percepción de la moral tributaria.
Tabla 1
Género de los encuestados
|
Masculino |
Femenino |
Total |
|
|
Frecuencia |
145 |
270 |
415 |
|
Porcentaje |
34.9 |
65.1 |
100 |
Tabla 2
Edad de los encuestados
|
20-40 años |
40-60 años |
Más 60 años |
Total |
|
|
Frecuencia |
292 |
113 |
10 |
415 |
|
Porcentaje |
70.3 |
27.2 |
2.5 |
100 |
Respecto al tiempo de inscripción en el RUC (Registro Único de Contribuyentes), se observa que la mayoría de los participantes han estado registrados por menos de 2 años (37.1%, n=154) o entre 2 y 6 años (22.2%, n=92). Solo una minoría ha estado registrada por más de 20 años (5.5%, n=23). Esta tendencia sugiere que la muestra está compuesta predominantemente por contribuyentes relativamente nuevos. Además, la gran mayoría de los participantes (94.7%, n=393) ha finalizado estudios universitarios, lo que indica un alto nivel educativo de los participantes en el estudio. Este hallazgo revela un capital humano con alta cualificación académica, lo cual podría representar una ventaja competitiva para las iniciativas económicas involucradas, en tanto sugiere la existencia de capacidades cognitivas y técnicas para la gestión eficiente de las microempresas dentro del tejido económico ecuatoriano.
Los resultados muestran que la confianza en las leyes tiene una media de 1,4087 en una escala de 0 a 4, lo que indica un nivel de confianza moderadamente bajo entre los encuestados. Esta tendencia sugiere que, en términos generales, los participantes manifiestan una adhesión más cercana a los valores inferiores de la escala, reflejando escepticismo respecto del marco jurídico vigente. La desviación estándar de 0,94533 sugiere una considerable variabilidad en las respuestas, lo que implica que, aunque la mayoría de los participantes tienen poca confianza en las leyes, algunos pueden tener opiniones más extremas, tanto más positivas como más negativas. La varianza de 0,894 refuerza esta observación de dispersión en las respuestas.
En cuanto a la confianza en el gobierno, la media es de 1,1265, reflejando una confianza aún menor que en las leyes. La desviación estándar es de 0,85675, indicando que las respuestas están algo dispersas alrededor de esta baja media, lo que sugiere que, aunque la percepción general es de desconfianza, hay cierta diversidad en las opiniones. La varianza de 0,734 muestra una dispersión algo menor en comparación con la confianza en las leyes, pero sigue siendo significativa. La confianza en los servicios públicos tiene una media de 1,2076, señalando nuevamente un bajo nivel de confianza. La desviación estándar de 0,91430 indica una moderada dispersión de las respuestas, similar a la observada en la confianza en las leyes. La varianza de 0,836 refuerza la idea de que hay variabilidad en las percepciones de los encuestados, aunque la tendencia general es hacia la desconfianza en los servicios públicos.
La confianza en las autoridades tributarias presenta una media de 1,3220, que es la más alta entre las variables analizadas, aunque sigue siendo baja. La desviación estándar de 0,81759 y la varianza de 0,668 sugieren una variabilidad moderada en las respuestas de los participantes. Esto implica que, aunque la confianza en las autoridades tributarias es ligeramente mayor que en las otras instituciones, todavía existe una considerable diversidad de opiniones y una tendencia general hacia la desconfianza. En la Tabla 3 se presentan los estadísticos descriptivos correspondientes a las variables analizadas, donde se permite apreciar la tendencia general de las respuestas y la dispersión de los datos, evidenciando niveles bajos de confianza gubernamental en todas las dimensiones evaluadas.
Tabla 3
Estadísticos descriptivos
|
N |
Mínimo |
Máximo |
Media |
Desviación estándar |
Varianza |
|
|
Confianza en las Leyes |
415 |
,00 |
4,00 |
1,4087 |
,94533 |
,894 |
|
Confianza en el Gobierno |
415 |
,00 |
4,00 |
1,1265 |
,85675 |
,734 |
|
Confianza en los Servicios Públicos |
415 |
,00 |
4,00 |
1,2076 |
,91430 |
,836 |
|
Confianza en las Autoridades Tributarias |
415 |
,00 |
4,00 |
1,3220 |
,81759 |
,668 |
|
N válido (por lista) |
415 |
Fuente: Datos levantados en el estudio
En la Tabla 4 se presentan los resultados del modelo inicial (Paso 0), que considera únicamente la constante sin incluir aún las variables independientes. Este modelo permite establecer una línea base para evaluar la capacidad predictiva general respecto a la moral tributaria. Los resultados muestran que el modelo clasifica correctamente el 100 % de los casos con alta moral tributaria (“NO”), pero ninguno de los casos con baja moral tributaria (“SÍ”), alcanzando una precisión global del 84,1%. Esto indica que la mayoría de los casos en la muestra tienen alta moral tributaria.
La constante del modelo en el Paso 0 es significativa (p < 0.001), lo que sugiere que, sin considerar las variables independientes, la probabilidad de tener baja moral tributaria es baja. El valor de Exp(B) de 0.189 indica que, en ausencia de las variables independientes, las probabilidades de baja moral tributaria son aproximadamente un 18.9%. Posteriormente, se evidencia que, de todas las variables independientes, solo “Confianza en las Leyes” es significativa (p = 0.021) en el Paso 0. Esto indica que, sin considerar las otras variables, hay una relación significativa entre la confianza en las leyes y la moral tributaria. Las otras variables no son significativas en este paso inicial. Este análisis brinda una línea base para comparar con el siguiente modelo: si el modelo con las variables independientes (Paso 1) no mejora significativamente sobre el Paso 0, entonces las variables independientes pueden no estar ayudando mucho en la predicción.
Tabla 4
Análisis del modelo inicial
|
Puntuación |
gl |
Sig. |
|||
|
Paso 0 |
Variables |
Educación |
,040 |
1 |
,841 |
|
Confianza en las Leyes |
5,286 |
1 |
,021 |
||
|
Confianza en el Gobierno |
,117 |
1 |
,732 |
||
|
Confianza en los Servicios Públicos |
,831 |
1 |
,362 |
||
|
Confianza en las Autoridades Tributarias |
2,375 |
1 |
,123 |
||
|
Estadísticos globales |
8,094 |
5 |
,151 |
||
En la Tabla 5 se exponen los resultados de las pruebas ómnibus de coeficientes del modelo, las cuales evalúan la significancia global del modelo final al incorporar las variables independientes. Los resultados indican que el modelo completo no difiere significativamente del modelo nulo (p = 0,132), lo que implica que las variables introducidas, en conjunto, no mejoran de manera sustancial la capacidad predictiva sobre la moral tributaria.
Tabla 5
Pruebas ómnibus de coeficientes de modelo
|
Chi-cuadrado |
gl |
Sig. |
||
|
Paso 1 |
Paso |
8,469 |
5 |
,132 |
|
Bloque |
8,469 |
5 |
,132 |
|
|
Modelo |
8,469 |
5 |
,132 |
En la Tabla 6 se sintetizan los indicadores de ajuste y bondad del modelo final de regresión logística, los cuales permiten evaluar la capacidad explicativa del conjunto de variables independientes sobre la moral tributaria. El valor del logaritmo de la verosimilitud es 355,128, lo que confirma la estabilidad del modelo, mientras que los coeficientes de determinación R² de Cox y Snell (0,020) y R² de Nagelkerke (0,035) evidencian que las variables educación y confianza gubernamental explican únicamente una fracción reducida de la variabilidad en la moral tributaria. Estos resultados reafirman que, si bien el modelo es estadísticamente válido, su poder predictivo es limitado, lo que sugiere la existencia de otros factores contextuales o psicológicos que podrían incidir con mayor fuerza en la conducta fiscal de los contribuyentes.
Tabla 6
Resumen del modelo
|
Paso |
Logaritmo de la verosimilitud -2 |
R cuadrado de Cox y Snell |
R cuadrado de Nagelkerke |
|
1 |
355,128a |
,020 |
,035 |
La estimación ha terminado en el número de iteración 5 porque las estimaciones de parámetro han cambiado en menos de ,001.
La Tabla 7 presenta los coeficientes del modelo final de regresión logística multivariante, que incluye todas las variables independientes. La precisión global se mantiene en 84,1 %, sin mejoras respecto al modelo inicial, indicando una limitada capacidad predictiva. Solo la variable “Confianza en las Leyes” muestra significancia estadística (p = 0,028), con B = -0,469 y Exp(B) = 0,625, lo que sugiere que una mayor confianza en las leyes reduce en 37,5 % la probabilidad de baja moral tributaria. Las demás variables como educación, confianza en el gobierno, servicios públicos y autoridades tributarias, no presentan efectos significativos.
Tabla 7
Modelo Final con las Variables en la ecuación
|
B |
Error estándar |
Wald |
gl |
Sig. |
Exp(B) |
|
|
Educación |
,191 |
,468 |
,167 |
1 |
,682 |
1,211 |
|
Confianza en las Leyes |
-,469 |
,214 |
4,798 |
1 |
,028 |
,625 |
|
Confianza en el Gobierno |
,310 |
,240 |
1,667 |
1 |
,197 |
1,364 |
|
Confianza en los Servicios Públicos |
,152 |
,252 |
,362 |
1 |
,548 |
1,164 |
|
Confianza en las Autoridades Tributarias |
-,283 |
,272 |
1,084 |
1 |
,298 |
,754 |
|
Constante |
-2,162 |
2,304 |
,881 |
1 |
,348 |
,115 |
|
a. Variables especificadas en el paso 1: Educacion, Confianza_en_las_Leyes, Confianza_en_el_Gobierno, Confianza_en_los_Servicios_Públicos, Confianza_en_las_Autoridades_Tributarias. |
||||||
5. Conclusiones
Los resultados muestran que solo la variable “Confianza en las Leyes” tiene un efecto significativo sobre la moral tributaria. De forma inesperada, dicha relación es negativa, indicando que una mayor confianza en las leyes se asocia con una menor disposición moral al cumplimiento fiscal. Este hallazgo contradice la teoría clásica, que afirma que confiar en el marco legal incrementa el respeto por las obligaciones tributarias. Sin embargo, esta paradoja puede reflejar una separación entre la existencia formal de las leyes y su aplicación efectiva. Los individuos pueden confiar en la normativa, pero no en su imparcialidad o justicia social. En este contexto, la ley se percibe como un elemento distante del pacto social. Así, la confianza en las leyes, sin legitimidad institucional, no refuerza la moral tributaria; más bien puede debilitarla. Ello resalta la necesidad de sistemas legales robustos acompañados de instituciones transparentes y creíbles.
Para futuras investigaciones, considerando que el modelo en su conjunto tiene una capacidad limitada para explicar la variabilidad en la moral tributaria, se sugiere que pueden ser necesarias variables adicionales o diferentes enfoques para mejorar la comprensión de los factores que influyen en la moral tributaria, tales como el contexto de las presiones gubernamentales, políticas fiscales, seguridad jurídica, considerando las múltiples reformas tributarias realizadas en los últimos años.
Referencias
Allingham, M. G. y Sandmo, A. (1972). Income Tax evasión: A theoretical análisis. Journal of public economics, 1 (٣-٤), ٣٢٣-٣٣٨. https://doi.org/10.1016/0047-2727(72)90010-2
Amadou, B., Konte, M., y Shimeles, A. (2020). Corruption and Tax Morale in Africa. Maastricht Economic and Social Research Institute on Innovation and Technology, 33, 1-27. https://www.afdb.org/sites/default/files/documents/publications/wps_no_333_corruption_and_tax_morale_in_africa_a.pdf
Berdiev, A. N., y Saunoris, J. W. (2019). What drives entrepreneurs underground? The role of tax morale. Applied Economics Letters, 26(10), 818–822. https://doi.org/10.1080/13504851.2018.1497847
Cabrera, Y., y Reyes, R. (2018). Título: El Incumplimiento Tributario Condicionado por la Carencia de una Cultura Tributaria en Guantánamo. Revista Observatorio de la Economía Latinoamericana. https://www.eumed.net/rev/oel/2018/04/cultura-tributaria-cuba.html
Castellón, G. (2018). El Principio Societas Delinquere non Potest y el Sistema de Compliance. Revista de Ciencias Jurídicas, 145, 33-64. https://doi.org/10.15517/rcj.2018.33461
Cellis Pinedo, W., Celis del Aguila, W., y Palomino Alvarado, G. (2022). Un análisis de la evasión tributaria. Ciencia Latina Revista Científica Multidisciplinar, 6(2), 3224. https://doi.org/10.37811/cl_rcm.v6i2.2085
CEPAL. (2021). Panorama Fiscal de América Latina y el Caribe. https://repositorio.cepal.org/bitstream/handle/11362/46808/1/S2100170_es.pdf
Código Tributario, No. 2005-09 (2023).
Coronel, L., Lozada, Lady, y Oblitas, R. (2021). Cultura tributaria y el cumplimiento del pago del rus de los microempresarios de la Urb. Mirasol II, Jaén – 2020. Ciencia Latina Revista Científica Multidisciplinar, 5(6), 10514-10533. https://doi.org/10.37811/cl_rcm.v5i6.1094
Crnogorac, M., y Lago-Peñas, S. (2020). Determinants of Tax Morale in Former Yugoslavian Countries. Eastern European Economics, 58(2), 174–196. https://doi.org/10.1080/00128775.2019.1671868
Davidescu, A. A., Manta, E. M., Stoica-Ungureanu, A. T., y Anton (Musat), M. (2022). Could Religiosity and Religion Influence the Tax Morale of Individuals? An Empirical Analysis Based on Variable Selection Methods. Mathematics, 10(23), 4497. https://doi.org/10.3390/math10234497
Flores, O. M., Jordán, R. P., y Parrales Choez, Carlos. (2019). Políticas tributarias y la evasión fiscal en la República del Ecuador. Aproximación a un modelo teórico. Revista Venezolana de Gerencia, 24(88), 1147-1165. https://doi.org/10.37960/revista.v24i88.30169
Fotiadis, K., y Chatzoglou, P. (2021). Tax Morale: Direct and Indirect Paths between Trust Factors: Empirical Evidence from Greece. Journal of Economic Issues, 55(4), 1066-1100. https://doi.org/10.1080/00213624.2021.1994788
Frey, B. S., y Torgler, B. (2007). Tax morale and conditional cooperation. Journal of Comparative Economics, 35(1), 136-159. https://doi.org/10.1016/j.jce.2006.10.006
Fuentes-Contreras, R., Mungaray-Lagarda, A., y Ramirez-Urquidy, M. (2020). Tax Morale and Social Business in Mexico. Journal of Developmental Entrepreneurship, 25(02), 2050011. https://doi.org/10.1142/S1084946720500119
Gaetano, L. (2019). Slippery slope framework, tax morale and tax compliance: A theoretical integration and an empirical assessment. Discussion Papers in Economic Behaviour, 2(19), 1-20.
Gangl, K., Hofmann, E., y Kirchler, E. (2015). Tax authorities’ interaction with taxpayers: A conception of compliance in social dilemmas by power and trust. New Ideas in Psychology, 37, 13-23. https://doi.org/10.1016/j.newideapsych.2014.12.001
Gobena, L. B., y Van Dijke, M. (2016). Power, justice, and trust: A moderated mediation analysis of tax compliance among Ethiopian business owners. Journal of Economic Psychology, 52, 24-37. https://doi.org/10.1016/j.joep.2015.11.004
Gerstenblüth, M., Melgar, N., Pagano, J., y Rossi, M. (2012). How do inequality affect tax morale in Latin America and Caribbean. Revista de Economía del Rosario, 15(2), 123-135.
Gürçam, Ö., y Turhan, M. (2019). The Effect of Tax Awareness on Tax Morale a Research on Students Of Iğdir University Economics and Theology Department Students. Business y Management Studies: An International Journal, 7(4), 1405. DOI:10.15295/bmij.v7i4.1194
Heinze, G., Wallisch, C., y Dunkler, D. (2018). Variable selection–a review and recommendations for the practicing statistician. Biometrical journal, 60(3), 431-449. https://doi.org/10.1002/bimj.201700067
Hlastec, A., Mumel, D., y Hauptman, L. (2023). Is There a Relationship between Self-Enhancement, Conservation and Personal Tax Culture? Sustainability, 15(7), 5797. https://doi.org/10.3390/su15075797
Hosmer, D. W., Lemeshow, S., y Sturdivant, R. X. (2013). Applied Logistic Regression (3rd ed.). John Wiley y Sons.
Kogler, C., Batrancea, L., Nichita, A., Pantya, J., Belianin, A., y Kirchler, E. (2013). Trust and power as determinants of tax compliance: Testing the assumptions of the slippery slope framework in Austria, Hungary, Romania and Russia. Journal of Economic Psychology, 34, 169–180. https://doi.org/10.1016/j.joep.2012.09.010
Ley de Régimen Tributario Interno, 2004-026 (2023).
Maja, R., Nikica, M.-B., y Miso, N. (2013). An alternative view to the tax evasion: The effect of tax morale on paying taxes in Macedonia and EU countries. Serbian Journal of Management, 8(2), 169–183. https://doi.org/10.5937/sjm8-3776
Melville-Pincay, C. (2018). Cultura tributaria y su incidencia en el Impuesto sobre la Renta. Polo del Conocimiento, 3(3), 169-180. https://doi.org/10.23857/pc.v3i3.645
Mickiewicz, T., Rebmann, A., y Sauka, A. (2019). To Pay or Not to Pay? Business Owners’ Tax Morale: Testing a Neo-Institutional Framework in a Transition Environment. Journal of Business Ethics, 157(1), 75-93. https://doi.org/10.1007/s10551-017-3623-2
OCDE (2013). What drives tax morale? www.oecd.org/ctp/tax-global/what-drives-tax-morale.pdf
Ormeño P.R. (2017). Comprendiendo el Cumplimiento Tributario de los Individuos: Una Revisión Bibliográfica Understanding Tax Compliance of Individuals: A Review. Revista de Estudios Tributarios, 17, 199-226.
Quispe Fernandez, Cepeda, A., Costales, N., Rodríguez, E., y Vélez, K. (2020). La cultura tributaria y su efecto en la evasión fiscal en Ecuador. Revista Espacios, 41(29), 153-171.
Rodríguez, K. G., Parrales, M. L., y Universidad Estatal del Sur de Manabí, Ecuador. (2022). Moral y evasión tributaria en Mipymes ecuatorianas. Espacios, 43(04), 13-29. https://doi.org/10.48082/espacios-a22v43n04p02
Sánchez, R., Jiménez, N., y Urgiles, B. (2020). Evasión tributaria: un análisis crítico de la normativa legal en las pequeñas y medianas empresas. Universidad Ciencia y Tecnología, 24(107), 4-11. https://doi.org/10.47460/uct.v24i107.408
Sapiei, N. S., Kasipilai, J., & Eze, U. C. (2014). Determinants of tax compliance behaviour of corporate taxpayers in Malaysia. EJournal of Tax Research, 12(2), 383-409. https://www.austlii.edu.au/au/journals/eJTR/2014/17.pdf
Servicio de Rentas Internas. (2021). Recaudación Nacional por domicilio fiscal e impuesto. https://www.sri.gob.ec/nl/estadisticas-generales-de-recaudacion-sri
Sperandei, S. (2014). Understanding logistic regression analysis. Biochemia Medica, 24(1), 12–18. https://doi.org/10.11613/BM.2014.003
Ten Kate, F., Klasing, M. J., y Milionis, P. (2023). Societal diversity, group identities and their implications for tax morale. Journal of Comparative Economics, 51(3), 1048-1067. https://doi.org/10.1016/j.jce.2023.04.005
Torgler, B. (2012). Tax morale, Eastern Europe and European enlargement. Communist y Post-Communist Studies, 45(1/2), 11–25. https://doi.10.1016/j.postcomstud.2012.02.005
Villasmil, M. C., Fandiño, Y. A., & Alvarado-Peña, L. J. (2018). Cultura tributaria en la educación: Un estudio fenomenológico hacia una interpretación compleja. Opción, 34(Especial 18), 1620–1652. https://produccioncientificaluz.org/index.php/opcion/article/view/23988/24433
Walsh, K. (2013). Understanding taxpayer behaviour–new opportunities for tax administration. The Economic and Social Review, 43(3, Autumn), 451–475.
Williams, C. C., y Bezeredi, S. (2018). Explaining informal entrepreneurship in South-East Europe: A tax morale approach. 9, 23. https://ejes.uaic.ro/articles/EJES2018_0902_WIL.pdf
Yaguache-Aguilar, M. F., Pardo-Cueva, M., y Espejo-Jaramillo, L. B. (2018). Estrategias para fomentar la cultura tributaria desde la academia. Caso UTPL. Killkana Social, 2(3), 145-152. https://doi.org/10.26871/killkana_social.v2i3.341