Universidad del Zulia (LUZ)
Revista Venezolana de Gerencia (RVG)
Año 30 No. Especial 14, 2025, 1038-1059
Julio-Diciembre
ISSN 1315-9984 / e-ISSN 2477-9423
Como citar: Letzkus-Palavecino, M., Álvarez-Guarategua, A., Barrueto, E., y González, P. (2025). Autocontrol en Población Laboral. Revista Venezolana De Gerencia, 30(Especial 14), 1038-1059. https://doi.org/10.52080/rvgluz.30.especial14.11
Autocontrol en población laboral
Letzkus-Palavecino, Manuel*
Álvarez-Guarategua, Alejandro**
Barrueto Mercado, Eduardo***
González Abarca, Patricia****
Resumen
El autocontrol es un factor clave en el ámbito organizacional, ya que permite a los empleados regular sus comportamientos para mantener un desempeño laboral óptimo. Su importancia se ha intensificado en la era digital, donde la constante presencia de dispositivos móviles y tecnologías de la comunicación puede afectar la concentración y la productividad. A pesar de su relevancia, la investigación sobre el autocontrol en contextos laborales es limitada, y la validación de instrumentos de medición al español, en población laboral, sigue siendo una brecha pendiente en la literatura. Este estudio evaluó el rasgo de autocontrol mediante la Escala Breve de Autocontrol de Tangney en una muestra de empleados de diversas organizaciones. Los análisis factoriales revelaron tres dimensiones del autocontrol: impulsividad, regulación cognitiva y resistencia a la tentación. La confiabilidad general fue aceptable (alfa = 0,817), aunque algunos factores presentaron limitaciones en su estabilidad y validez convergente. Los hallazgos sugieren la necesidad de ajustes en la estructura factorial para optimizar su precisión. En conclusión, la escala es una herramienta útil para evaluar el autocontrol en el contexto laboral, aunque se recomienda su refinamiento para mejorar su aplicabilidad.
Palabras clave: autocontrol; desempeño laboral; escala breve de autocontrol.
Recibido: 25.06.25 Aceptado: 30.09.25
* Doctor en Ciencias Logísticas y Supply Chain Management. Máster en Dirección y Administración de Empresas. Profesor Asociado, Universidad Tecnológica Metropolitana. E-mail: mletzkus@utem.cl ORCID: https://orcid.org/0000-0003-1984-8899
** Magíster Organización y Relaciones del Trabajo. Ingeniero Comercial. Profesor, Universidad Tecnológica Metropolitana. E-mail: aalvarezg@utem.cl ORCID: https://orcid.org/0009-0008-7166-6164
*** Doctorando en Derecho y Administración de Empresas. Magíster en Administración de Empresas. Máster en Dirección y Organización de Empresas. Académico, Facultad de Economía y Negocios, Universidad Andrés Bello, Chile. E-mail: eduardo.barrueto@unab.cl ORCID: https://orcid.org/0000-0001-9612-2050
**** Doctoranda en Educación con Mención en Gestión Educativa. Magíster en Educación con Mención en Gestión de Calidad. Psicóloga. Profesora Adjunta, Universidad Miguel de Cervantes, Chile. E-mail: patricia.gonzalez@profe.umc.cl ORCID: https://orcid.org/0000-0003-1511-8442
Self-Control in Working Populations
Abstract
Self-control is a key factor in organizational settings, as it enables employees to regulate their behaviors in order to maintain optimal job performance. Its importance has intensified in the digital era, where the constant presence of mobile devices and communication technologies can affect concentration and productivity. Despite its relevance, research on self-control in workplace contexts remains limited, and the validation of measurement instruments in Spanish, particularly among working populations, continues to be a gap in the literature. This study assessed the trait of self-control using the Brief Self-Control Scale by Tangney in a sample of employees from various organizations. Factor analyses revealed three dimensions of self-control: impulsivity, cognitive regulation, and resistance to temptation. Overall reliability was acceptable (α = 0.817), although some factors showed limitations in stability and convergent validity. The findings suggest the need for adjustments in the factorial structure to optimize measurement accuracy. In conclusion, the scale is a useful tool for assessing self-control in organizational contexts, although refinement is recommended to improve its applicability.
Keywords: self-control; job performance; brief self-control scale.
1. Introducción
El autocontrol es un constructo clave en el ámbito organizacional, dado que los empleados deben regular sus impulsos, emociones y comportamientos para sostener un desempeño laboral adecuado (López-Mena, 2000; Martín, 2000; Trinxet & Cvitanic, 2003; Claro Toledo et al., 2005; Olivares, 2009; Gaitán & Medina, 2014; Lanaj et al., 2014; Lian et al., 2017; Bago & De Neys, 2019; Roselló et al., 2019; Delgado-Benavides et al., 2021; Postigo et al., 2021; Orti & Nasarre, 2022; Tesen Timana, 2022; Tripathi & Priyadarshi, 2024). Esta capacidad cobra relevancia en un entorno caracterizado por la constante presencia de dispositivos móviles y tecnologías de la comunicación, factores que pueden interferir en la concentración y el compromiso con las tareas (Lanaj et al., 2014).
Más allá del ámbito laboral, la literatura ha documentado consistentemente que altos niveles de autocontrol se relacionan con beneficios en la salud, el desempeño académico y la estabilidad emocional (Loewenstein, 1996; Tangney et al., 2004; Ferrari et al., 2009; De Ridder et al., 2011; Maloney et al., 2012; Da Costa et al., 2014; Del Valle et al., 2019; Zepeda, 2019; Saavedra & De Jesus, 2019). Desde una perspectiva histórica, este constructo se ha concebido como fundamental para la adaptación y el éxito individual, con antecedentes en la filosofía clásica y desarrollos posteriores en teorías psicológicas contemporáneas (Freud, 1913/1991, 1930/1992; Haug, 2022).
No obstante, a pesar de su relevancia, la investigación sobre el autocontrol en contextos laborales sigue siendo limitada. En particular, se observa la necesidad de contar con instrumentos psicométricos validados que permitan medirlo de manera rigurosa en población hispanohablante. Una de las herramientas más utilizadas a nivel internacional es la escala breve de autocontrol de Tangney et al. (2004), cuya validez en español y en escenarios organizacionales requiere mayor evidencia empírica.
En este marco, el presente estudio tiene como objetivo general evaluar las propiedades psicométricas de la escala breve de autocontrol en una muestra de trabajadores de distintas organizaciones. Para ello, se plantea como objetivo específico examinar su validez y confiabilidad, de modo que el instrumento pueda adaptarse y emplearse en futuras investigaciones organizacionales.
El estudio se sustenta en referentes teóricos consolidados sobre el autocontrol y en la necesidad metodológica de validar instrumentos que contribuyan a describir con precisión fenómenos de la realidad laboral. En este sentido, se llevó a cabo un análisis de confiabilidad, un análisis factorial exploratorio y un análisis factorial confirmatorio, complementados con pruebas de validez convergente y discriminante, con el propósito de evaluar la dimensionalidad del constructo. Los ítems utilizados en cada modelo se presentan en la sección de resultados. En general, la muestra analizada representa una amplia diversidad en términos de edad, género y tipo de empleo, con una participación significativa de trabajadores tanto del sector público como del privado y con distintos niveles de responsabilidad dentro de sus organizaciones.
2. Autocontrol en la población laboral
La importancia del autocontrol para el contexto laboral deriva de que los empleados deben ejercer esta capacidad de manera constante para mantener un desempeño laboral óptimo (Lanaj et al., 2014; Lian et al., 2017; Tripathi & Priyadarshi, 2024). Esta habilidad permite a los trabajadores regular sus impulsos, emociones y comportamientos en función de las demandas de su entorno laboral, lo que impacta directamente en su productividad y bienestar (Tangney et al., 2004).
Un caso ejemplar, en el contexto actual, es la realidad caracterizada por la omnipresencia de dispositivos móviles y tecnologías de la comunicación; el autocontrol adquiere un papel aún más relevante. Estas herramientas, si bien facilitan la conectividad y el acceso a la información, también representan una fuente constante de distracción que puede afectar la concentración y el compromiso con las tareas laborales. Por ello, la capacidad de autorregulación es clave para gestionar el uso de estas tecnologías sin comprometer el rendimiento profesional (Lanaj et al., 2014).
Más allá del ámbito organizacional, la literatura científica ha documentado ampliamente los beneficios de un alto nivel de autocontrol en diversas áreas de la vida (Álvarez-Maldonado et al., 2024). Estudios previos como Tangney et al. (2004), Ferrari et al. (2009), De Ridder et al. (2011), Maloney et al. (2012) y Del Valle et al. (2019) han demostrado que este rasgo individual se asocia con mejores resultados en la salud, el desempeño académico y, por supuesto, el rendimiento laboral.
En este sentido, el autocontrol no solo favorece el cumplimiento de objetivos profesionales, sino que también contribuye al desarrollo de hábitos saludables y a una mayor estabilidad emocional, lo que en última instancia se traduce en un mayor bienestar general. El fenómeno del autocontrol ha sido objeto de estudio desde los inicios de las disciplinas científicas enfocadas en el ser humano, consolidándose como un concepto central en diversas áreas del conocimiento (Tangney et al., 2004). Actualmente, se define como “la capacidad de anular o modificar respuestas internas propias, así como de interrumpir tendencias de comportamiento no deseadas (como los impulsos) y abstenerse de actuar en consecuencia” (Tangney et al., 2004; Duckworth & Kern, 2011; Lanaj et al., 2014).
Esta capacidad es esencial para la regulación emocional y conductual, lo que la convierte en un factor determinante en la adaptación y el éxito individual en múltiples esferas de la vida. Desde una perspectiva histórica, la filosofía clásica ya consideraba el autocontrol como un rasgo fundamental de la personalidad. Platón lo concebía como una habilidad necesaria para alcanzar un estado superior de desarrollo humano, mientras que Aristóteles lo definía en términos de continencia, es decir, como la capacidad de inhibir comportamientos impulsivos, independientemente de las emociones momentáneas (Lanaj et al., 2014; Haug, 2022).
Siglos después, Sigmund Freud incorporó el autocontrol a su teoría psicoanalítica, argumentando que constituye un pilar esencial para la civilización y el orden racional de las interacciones sociales (Freud, 1913/1991, 1915/1992, 1921/1992, 1930/1992; Tangney et al., 2004). En este sentido, la capacidad de autorregulación ha sido ampliamente reconocida como un factor clave en el mantenimiento del equilibrio social y el desarrollo de estructuras organizadas dentro de las comunidades humanas.
A lo largo de la historia, ha prevalecido un consenso académico en torno a la relevancia del autocontrol en la vida cotidiana (Tangney et al., 2004). Se ha demostrado que este rasgo contribuye significativamente al bienestar general, al reducir la impulsividad y fomentar la toma de decisiones estratégicas orientadas al éxito a largo plazo (Tangney et al., 2004; Ferrari et al., 2009; De Ridder et al., 2011; Maloney et al., 2012; Del Valle et al., 2019). Investigaciones previas han asociado altos niveles de autocontrol con beneficios en múltiples áreas, incluyendo la salud, el desempeño académico y la estabilidad financiera, así como con menores tasas de comportamiento delictivo y consumo problemático de sustancias (Duckworth & Kern, 2011).
Sin embargo, a pesar de su importancia en diversos ámbitos, gran parte de la investigación sobre el autocontrol se ha centrado en su impacto en la educación, la salud y la criminología, mientras que su estudio en el contexto laboral ha sido relativamente limitado. Esto representa una brecha en la literatura que amerita una mayor exploración, dado el papel crucial que desempeña el autocontrol en la regulación del comportamiento en entornos profesionales.
En este sentido, una de las herramientas más utilizadas para medir este constructo es la escala abreviada de autocontrol de Tangney, la cual ha demostrado ser un instrumento válido y confiable para evaluar la capacidad de autorregulación en distintos contextos (Tangney et al., 2004; Duckworth & Kern, 2011). Al realizar una búsqueda en el sistema de indexación de Web of Science, utilizando la fórmula booleana que incluye las palabras clave de autocontrol y empleado: TS = (self-control AND employee) AND DT = (Article); en las categorías de: Psychology Applied or Management or Business; obtenemos un resultado de 270 artículos, los cuales son graficados en el mapa bibliométrico de la ilustración 1. A continuación detallaremos los principales hallazgos de esta literatura sobre autocontrol en el ámbito laboral.
Ilustración 1
Mapa bibliométrico sobre las palabras clave: autocontrol y empleados
Nota: Elaboración propia mediante VOS Viwer (2025).
La literatura especializada, como Trougakos et al. (2008) y Lanaj et al. (2014), identificados en la ilustración 1, destaca el autocontrol como un constructo central en la psicología organizacional, vinculado con la regulación de la conducta en el lugar de trabajo, la gestión de los recursos individuales, la agresión laboral, el comportamiento contraproducente, el agotamiento del ego, así como con la justicia y la voz organizacionales.
Marcus y Schuler (2004) examinaron los antecedentes del comportamiento contraproducente general en el trabajo, encontrando un sólido respaldo a la teoría del autocontrol. A través de un estudio con empleados alemanes, evidenciaron que el autocontrol es un predictor clave de la conducta desadaptativa en el ámbito laboral. De manera similar, Douglas y Martinko (2001) demostraron que el autocontrol, junto con la ira rasgo y la afectividad negativa, explica una proporción significativa de la varianza en la agresión laboral. Además, investigaciones como la de Lin & Johnson (2015) han explorado la relación entre el autocontrol y el agotamiento del ego. Lanaj et al. (2014) encontraron que el uso nocturno de teléfonos inteligentes para el trabajo afecta negativamente el descanso, lo que genera agotamiento matutino y reduce el compromiso laboral. En la misma línea, Trougakos et al. (2008) analizaron el impacto de los descansos laborales y concluyeron que estos favorecen la regulación emocional y el desempeño afectivo positivo, subrayando el papel del autocontrol en la recuperación de recursos.
Asimismo, el autocontrol ha sido identificado como un moderador clave en la relación entre la justicia organizacional y el bienestar de los empleados. Matta et al. (2017) señalaron que los supervisores con mayor autocontrol tienden a mantener una justicia organizacional más estable a lo largo del tiempo, reduciendo el estrés en los empleados. En contraste, las fluctuaciones en el trato justo pueden generar elevados niveles de estrés, lo que resalta la importancia del autocontrol en los líderes para garantizar la consistencia organizacional.
En cuanto a la conducta de voz organizacional, Lin y Johnson (2015) examinaron los efectos del autocontrol y hallaron que el agotamiento reduce la frecuencia con la que los empleados expresan sugerencias o preocupaciones. Por su parte, Lam et al. (2022) identificaron que los empleados con bajo autocontrol tienden a manifestar mayores niveles de voz prohibitiva en respuesta al agotamiento diario, aunque esto disminuye la aceptación de sus ideas por parte de los gerentes. Este conjunto de investigaciones respalda la importancia de fortalecer esta línea de investigación, mediante la validación de un instrumento ampliamente reconocido en lengua inglesa, denominado escala breve de autocontrol de Tangney et al. (2004), al español y para población laboral sudamericana.
3. Muestra de población laboral
El presente estudio tiene como objetivo evaluar en español la escala breve de autocontrol desarrollada por Tangney et al. (2004) en una muestra de empleados de diversas organizaciones. Para ello, se evaluó la confiabilidad y validez del instrumento en un contexto laboral. La muestra estuvo conformada por 169 trabajadores, con edades comprendidas entre los 19 y los 82 años (rango de 63 años). La edad promedio fue de 45,41 años, con una desviación estándar de 14,523, lo que refleja una amplia variabilidad en la distribución etaria. La asimetría de la distribución fue de 0,302, sugiriendo una ligera inclinación hacia valores más jóvenes, mientras que la curtosis de -0,691 indica una forma más achatada en comparación con una distribución normal, como se puede observar en la Tabla 1.
Tabla 1
Edad de la muestra
|
Muestra |
169 |
|
Rango |
63 |
|
Mínimo |
19 |
|
Máximo |
82 |
|
Media |
45,41 (Desviación Estandar: 14,523) |
|
Asimatría |
0,302 (Desv. Error: 0,187) |
|
Curstosis |
-0,691 (Desv. Error: 0,371) |
En cuanto a la distribución de género, el 50,9 % de los participantes se identificaron como hombres, el 45,6 % como mujeres y el 0,6 % como no binarios, mientras que un 3,0 % optó por no reportar esta información, como se expone en la Tabla 2.
Tabla 2
Género de la muestra
|
Género |
Frecuencia |
Porcentaje |
|
Femenino |
77 |
45,6 % |
|
Masculino |
86 |
50,9 % |
|
No Binario |
1 |
0,6 % |
|
No Reporta |
5 |
3,0 % |
|
Muestra |
169 |
100,0 % |
Respecto al ámbito laboral, la mayor proporción de participantes provino de municipalidades (28,4 %), seguida por consultoras (17,8 %), trabajadores independientes (14,8 %) y universidades (14,2 %). Asimismo, un 10,1 % se desempeñaba en empresas de servicios, un 6,5 % en construcción y un 5,3 % en empresas públicas, mientras que un 3,0 % trabajaba en el sistema de salud público, como se muestra en la Tabla 3.
Tabla 3
Pertenencia organizacional de la muestra
|
Organización |
Frecuencia |
Porcentaje |
|
Independiente |
25 |
14,8 % |
|
Consultora |
30 |
17,8 % |
|
Empresa de Construcción |
11 |
6,5 % |
|
Empresa de Servicios |
17 |
10,1 % |
|
Empresa Pública |
9 |
5,3 % |
|
Municipalidad |
48 |
28,4 % |
|
Servicio de Salud Público |
5 |
3,0 % |
|
Universidad |
24 |
14,2 % |
|
Muestra |
169 |
100,0 % |
Los cargos ocupados por los participantes fueron diversos. La categoría más representativa fue la de empleados (26,6 %), seguida por jefaturas (15,4 %), funcionarios (14,8 %) y coordinadores (13,0 %). Además, un 10,7 % desempeñaba roles de liderazgo de equipos, un 6,5 % trabajaba en gerencias, un 5,3 % ejercía como consultor y un 3,0 % ocupaba cargos de subgerencia. Otros roles menos representados incluían docentes, gestores de control, subjefaturas y supervisores, cada uno con menos del 2 % de la muestra, como se expone en la Tabla 4.
Tabla 4
Cargo o rol laboral de los participantes de la muestra
|
Tipo de Trabajo |
Frecuencia |
Porcentaje |
|
Sin empleador |
2 |
1,2 % |
|
Consultor |
9 |
5,3 % |
|
Coordinador |
22 |
13,0 % |
|
Docente |
1 |
0,6 % |
|
Empleado |
45 |
26,6 % |
|
Funcionario |
25 |
14,8 % |
|
Gerencia |
11 |
6,5 % |
|
Gestor Control |
1 |
0,6 % |
|
Jefatura |
26 |
15,4 % |
|
Líder de Equipo |
18 |
10,7 % |
|
Subgerencia |
5 |
3,0 % |
|
Subjefatura |
2 |
1,2 % |
|
Supervisor |
2 |
1,2 % |
|
Total |
169 |
100,0 % |
4. Medición del autocontrol en población laboral
Los resultados del análisis de validez al español en población laboral del instrumento de medición del rasgo de autocontrol (Tangney et al., 2004) evidencian que el análisis de confiabilidad del instrumento, basado en el coeficiente Alfa de Cronbach para los 11 ítems evaluados (según sugiere Del Valle et al., 2019), reveló un valor de 0,813, lo que indica una buena consistencia interna (Churchill, 1979), aunque hay parámetros más exigentes que esperarían sobre 0,9. Sin embargo, en general, un coeficiente superior a 0,8 sugiere que los ítems están midiendo de manera coherente el mismo constructo, en este caso, el autocontrol. Al examinar la contribución individual de cada ítem (Tabla 5; todos los ítems fueron codificados con la letra A y un número correlativo), se identificaron aquellos que presentan una mayor alineación con el concepto medido, así como aquellos cuya relación con la escala es más débil.
Entre los ítems que fortalecen la consistencia interna destacan A8, “Tengo problemas para concentrarme” (r = 0,607), y A10, “A veces no puedo detenerme de hacer algo, incluso si sé que está mal” (r = 0,605), los cuales muestran las correlaciones más altas con el total del instrumento. Estos resultados indican que ambos ítems reflejan de manera sólida el constructo evaluado. De manera similar, A7, “El placer y la diversión a veces me impiden terminar el trabajo” (r = 0,552), y A11, “A menudo actúo sin pensar en todas las alternativas” (r = 0,569), presentan correlaciones elevadas, consolidando su relevancia dentro de la escala. Por otro lado, algunos ítems muestran una menor asociación con la medición del autocontrol. En particular, A9, “Soy capaz de trabajar de manera efectiva hacia objetivos a largo plazo” (r = 0,232), exhibe la correlación más baja con el total del instrumento, lo que sugiere que su relación con el constructo es más débil.
Del mismo modo, A6, “La gente diría que tengo una autodisciplina de hierro” (r = 0,325), presenta una baja correlación, posiblemente debido a una interpretación ambigua o a que mide un aspecto distinto del autocontrol. A pesar de estas observaciones, la eliminación de estos ítems no generaría una mejora significativa en la consistencia interna de la escala, ya que el coeficiente Alfa de Cronbach se mantiene por encima de 0,81 en todos los escenarios analizados. Esto sugiere que, aunque estos ítems son los menos consistentes dentro de la escala, su exclusión no es estrictamente necesaria.
En cuanto a la variabilidad de las respuestas, se observó que los ítems A5, “Desearía tener más autodisciplina”, y A8, “Tengo problemas para concentrarme”, presentan una alta varianza cuando se eliminan del cálculo, lo que indica que capturan una mayor dispersión en las respuestas de los participantes. En contraste, A2, “Soy perezoso”, y A9, “Soy capaz de trabajar de manera efectiva hacia objetivos a largo plazo”, presentan desviaciones estándar más bajas, lo que sugiere que las respuestas a estos ítems son menos variables y, por lo tanto, tienen una menor capacidad para discriminar entre distintos niveles de autocontrol.
En este contexto, la escala evaluada presenta una buena fiabilidad para medir el autocontrol en población laboral, con una consistencia interna sólida (alfa de Cronbach: 0,813) tal como lo muestra la tabla 5.
Tabla 5
Análisis de Alfa de Cronbach basada en elementos estandarizados
|
Alfa de Cronbach 11 elementos. |
,813 |
||||||
|
Items |
Media |
Desv. Desviación |
Media de escala si el elemento se ha suprimido |
Varianza de escala si el elemento se ha suprimido |
Correlación total de elementos corregida |
Correlación múltiple al cuadrado |
Alfa de Cronbach si el elemento se ha suprimido |
|
A1) Soy bueno resistiendo las tentaciones. |
3,76 |
1,197 |
40,04 |
48,153 |
,377 |
,250 |
,807 |
|
A2) Soy perezoso. |
4,62 |
,931 |
39,18 |
48,909 |
,465 |
,336 |
,799 |
|
A3) Digo cosas inapropiadas. |
4,28 |
1,059 |
39,51 |
47,144 |
,521 |
,395 |
,793 |
|
A4) Hago ciertas cosas que son malas para mí, si son divertidas. |
3,95 |
1,221 |
39,85 |
45,651 |
,527 |
,354 |
,792 |
|
A5) Desearía tener más autodisciplina. |
2,97 |
1,466 |
40,83 |
44,429 |
,474 |
,327 |
,799 |
|
A6) La gente diría que tengo una autodisciplina de hierro. |
3,45 |
1,154 |
40,35 |
49,240 |
,325 |
,204 |
,811 |
|
A7) El placer y la diversión a veces me impiden terminar el trabajo. |
4,30 |
1,085 |
39,50 |
46,501 |
,552 |
,413 |
,790 |
|
A8) Tengo problemas para concentrarme. |
3,73 |
1,321 |
40,07 |
43,526 |
,607 |
,439 |
,782 |
|
A9) Soy capaz de trabajar de manera efectiva hacia objetivos a largo plazo. |
4,33 |
,962 |
39,47 |
51,703 |
,232 |
,102 |
,817 |
|
A10) A veces no puedo detenerme de hacer algo, incluso si sé que está mal. |
4,12 |
1,114 |
39,67 |
45,507 |
,605 |
,485 |
,784 |
|
A11) A menudo actúo sin pensar en todas las alternativas. |
4,27 |
1,068 |
39,53 |
46,417 |
,569 |
,372 |
,788 |
Nota: Elaboración propia mediante SPSS, basada en la traducción de Del Valle et al., (2019)
No obstante, algunos ajustes podrían mejorar su precisión. En particular, sería recomendable revisar y reformular los ítems A9 y A6 para mejorar su alineación con el constructo, ya que presentan las correlaciones más bajas con el total del instrumento. Por otro lado, los ítems A8, A10 y A7, que han demostrado ser los más representativos del constructo, deberían conservarse sin modificaciones. Finalmente, la eliminación de ítems no es necesaria, dado que su exclusión no genera mejoras significativas en la confiabilidad general. En síntesis, el instrumento resulta adecuado para evaluar el autocontrol en el ámbito laboral, aunque ciertos ítems podrían optimizarse para reforzar su coherencia interna y capacidad discriminativa.
El análisis factorial exploratorio permitió evaluar la estructura subyacente del instrumento y su idoneidad para medir el constructo de interés. En primer lugar, la medida de adecuación muestral de Kaiser-Meyer-Olkin (KMO) arrojó un valor de 0,834, lo que indica que la muestra es suficientemente adecuada para este tipo de análisis, dado que valores superiores a 0,8 se consideran buenos. Además, la prueba de esfericidad de Bartlett resultó significativa (p < 0,001, χ² = 482,506, gl = 55), lo que confirma que la matriz de correlaciones no es una matriz identidad y, por lo tanto, justifica la aplicación del Análisis Factorial Exploratorio.
En cuanto a las comunalidades, se evaluó la proporción de varianza de cada ítem explicada por los factores extraídos. Se encontró que algunos ítems presentaban valores bajos, como “Soy capaz de trabajar de manera efectiva hacia objetivos a largo plazo” (0,076) y “La gente diría que tengo una autodisciplina de hierro” (0,336), lo que sugiere que no están bien representados en la estructura factorial. Por el contrario, otros ítems mostraron comunalidades más altas, como “Desearía tener más autodisciplina” (0,569), “Tengo problemas para concentrarme” (0,564) y “A veces no puedo detenerme de hacer algo, incluso si sé que está mal” (0,498), lo que indica que estos elementos están mejor alineados con los factores identificados (Tabla 6).
Tabla 6
Comunalidades
|
ítems |
Comunalidades |
|
|
Inicial |
Extracción |
|
|
Soy bueno resistiendo las tentaciones. |
,250 |
,492 |
|
Soy perezoso. |
,336 |
,345 |
|
Digo cosas inapropiadas. |
,395 |
,388 |
|
Hago ciertas cosas que son malas para mí, si son divertidas. |
,354 |
,414 |
|
Desearía tener más autodisciplina. |
,327 |
,569 |
|
La gente diría que tengo una autodisciplina de hierro. |
,204 |
,336 |
|
El placer y la diversión a veces me impiden terminar el trabajo. |
,413 |
,471 |
|
Tengo problemas para concentrarme. |
,439 |
,564 |
|
Soy capaz de trabajar de manera efectiva hacia objetivos a largo plazo. |
,102 |
,076 |
|
A veces no puedo detenerme de hacer algo, incluso si sé que está mal. |
,485 |
,498 |
|
A menudo actúo sin pensar en todas las alternativas. |
,372 |
,411 |
El análisis de la varianza explicada reveló la presencia de tres factores principales, con una varianza total explicada del 41,5 % después de la rotación (tabla 7). El primer factor explicó el 20,7 % de la varianza, el segundo factor el 10,9 % y el tercero el 9,8 %. Si bien el criterio de Kaiser, basado en autovalores mayores a uno, sugería la posible retención de hasta cuatro factores, la solución de tres factores resultó más parsimoniosa y coherente con la estructura del constructo tras la rotación (Gráfico 2).
Tabla 7
Varianza total explicada
|
Factor |
Autovalores inicialesa |
Sumas de cargas al cuadrado de la extracción |
Sumas de cargas al cuadrado de la rotación |
||||||
|
Total |
% de varianza |
% acumulado |
Total |
% de varianza |
% acumulado |
Total |
% de varianza |
% acumulado |
|
|
1 |
5,485 |
37,525 |
37,525 |
3,406 |
30,967 |
30,967 |
2,282 |
20,742 |
20,742 |
|
2 |
1,705 |
11,664 |
49,190 |
,638 |
5,798 |
36,765 |
1,206 |
10,960 |
31,702 |
|
3 |
1,604 |
10,976 |
60,166 |
,521 |
4,737 |
41,503 |
1,078 |
9,801 |
41,503 |
|
4 |
1,012 |
6,923 |
67,089 |
||||||
|
5 |
,945 |
6,467 |
73,556 |
||||||
|
6 |
,870 |
5,955 |
79,510 |
||||||
|
7 |
,741 |
5,071 |
84,582 |
||||||
|
8 |
,706 |
4,829 |
89,410 |
||||||
|
9 |
,685 |
4,684 |
94,094 |
||||||
|
10 |
,439 |
3,003 |
97,097 |
||||||
|
11 |
,424 |
2,903 |
100,000 |
||||||
Nota: Elaboración propia mediante SPSS. Método de extracción: factorización de eje principal. Al analizar una matriz de covarianzas, los autovalores iniciales son los mismos entre la solución re-escalada y pura (2025).
Gráfico 2
Gráfico de Sedimentación
Al interpretar los factores mediante la matriz rotada con el método Varimax, se observó una agrupación clara de los ítems en tres dimensiones diferenciadas. El primer factor, relacionado con la falta de autocontrol y el comportamiento impulsivo, incluyó ítems como “Soy perezoso” (0,570), “Digo cosas inapropiadas” (0,575) y “A veces no puedo detenerme de hacer algo, incluso si sé que está mal” (0,631). Estos ítems reflejan una tendencia a la impulsividad y la dificultad para controlar comportamientos espontáneos (Tabla 8).
Tabla 8
Matriz de factor rotado
|
Ítems. |
Reescalado |
||
|
Factor |
|||
|
1 |
2 |
3 |
|
|
A1) Soy bueno resistiendo las tentaciones. |
,682 |
||
|
A2) Soy perezoso. |
,570 |
||
|
A3) Digo cosas inapropiadas. |
,575 |
||
|
A4) Hago ciertas cosas que son malas para mí, si son divertidas. |
,582 |
||
|
A5) Desearía tener más autodisciplina. |
,704 |
||
|
A6) La gente diría que tengo una autodisciplina de hierro. |
,562 |
||
|
A7) El placer y la diversión a veces me impiden terminar el trabajo. |
,565 |
||
|
A8) Tengo problemas para concentrarme. |
,593 |
||
|
A9) Soy capaz de trabajar de manera efectiva hacia objetivos a largo plazo. |
,218 |
||
|
A10) A veces no puedo detenerme de hacer algo, incluso si sé que está mal. |
,631 |
||
|
A11) A menudo actúo sin pensar en todas las alternativas. |
,549 |
||
Nota: Método de extracción: factorización de eje principal. Método de rotación: Varimax con normalización Kaiser. a. La rotación ha convergido en 6 iteraciones (2025).
El segundo factor, vinculado a la autodisciplina y la regulación personal, estuvo compuesto por ítems como “Desearía tener más autodisciplina” (0,704) y “Tengo problemas para concentrarme” (0,593), lo que sugiere que mide dificultades en el autocontrol cognitivo y la falta de disciplina (Evans, 2008). Finalmente, el tercer factor se asoció con la resistencia a la tentación y la autodisciplina percibida, incluyendo ítems como “Soy bueno resistiendo las tentaciones” (0,682) y “La gente diría que tengo una autodisciplina de hierro” (0,562), lo que parece capturar la percepción personal y externa de la capacidad de autocontrol.
Dado que el ítem “Soy capaz de trabajar de manera efectiva hacia objetivos a largo plazo” mostró una comunalidad extremadamente baja (0,076) y no se cargó significativamente en ningún factor, se recomienda su eliminación y la realización de un nuevo análisis de confiabilidad con alfa de Cronbach. En términos generales, la estructura factorial identificada es adecuada y respalda la validez del instrumento. No obstante, si se busca optimizar la escala, debería evaluarse la posibilidad de eliminar ítems con cargas factoriales débiles o reformular aquellos que no se alinean claramente con un solo factor. Aunque el modelo factorial obtenido es aceptable, realizar estos ajustes permitiría mejorar aún más su precisión y coherencia interna.
El segundo análisis de confiabilidad del instrumento (Tabla 9), y considerando la eliminación del ítem: A9) Soy capaz de trabajar de manera efectiva hacia objetivos a largo plazo; basado en el coeficiente Alfa de Cronbach, arrojó un valor de 0,817, lo que indica una buena consistencia interna. Ningún ítem mejora significativamente el coeficiente al ser eliminado, lo que sugiere que la escala en su conjunto es sólida. Sin embargo, se identificó que el ítem “La gente diría que tengo una autodisciplina de hierro” presenta la correlación total corregida más baja (0,316), lo que sugiere que podría revisarse o eliminarse, pero no se optó por esta decisión.
Tabla 9
Matriz de factor rotado
|
Alfa de Cronbach de 10 ítems: 0,817. |
||||
|
Media de escala si el elemento se ha suprimido |
Varianza de escala si el elemento se ha suprimido |
Correlación total de elementos corregida |
Alfa de Cronbach si el elemento se ha suprimido |
|
|
Soy bueno resistiendo las tentaciones. |
35,70 |
44,460 |
,364 |
,815 |
|
Soy perezoso. |
34,85 |
45,060 |
,462 |
,805 |
|
Digo cosas inapropiadas. |
35,18 |
43,091 |
,539 |
,797 |
|
Hago ciertas cosas que son malas para mí, si son divertidas. |
35,52 |
41,715 |
,539 |
,796 |
|
Desearía tener más autodisciplina. |
36,50 |
40,644 |
,477 |
,805 |
|
La gente diría que tengo una autodisciplina de hierro. |
36,02 |
45,458 |
,316 |
,819 |
|
El placer y la diversión a veces me impiden terminar el trabajo. |
35,17 |
42,675 |
,554 |
,795 |
|
Tengo problemas para concentrarme. |
35,73 |
39,804 |
,609 |
,787 |
|
A veces no puedo detenerme de hacer algo, incluso si sé que está mal. |
35,34 |
41,834 |
,599 |
,790 |
|
A menudo actúo sin pensar en todas las alternativas. |
35,20 |
42,575 |
,573 |
,793 |
Por otro lado, algunos ítems demostraron una alta contribución a la escala, como “Tengo problemas para concentrarme” (0,609), “A veces no puedo detenerme de hacer algo, incluso si sé que está mal” (0,599) y “El placer y la diversión a veces me impiden terminar el trabajo” (0,554), lo que refuerza su pertinencia dentro de la medición del constructo. En cuanto a la adecuación del segundo análisis factorial exploratorio (Tablas 10, 11 y 12), el índice de Kaiser-Meyer-Olkin (KMO) obtuvo un valor de 0,837, lo que confirma que la muestra es apropiada para este tipo de análisis. Además, la prueba de esfericidad de Bartlett resultó significativa (χ² = 465,879, p < 0,001), lo que indica que la matriz de correlaciones no es una matriz identidad y, por lo tanto, justifica la aplicación del análisis factorial. El examen de las comunalidades mostró que, en general, los ítems presentaron valores aceptables superiores a 0,4. Sin embargo, se identificaron algunos con comunalidades relativamente bajas, como “Soy perezoso” (0,340) y “La gente diría que tengo una autodisciplina de hierro” (0,352), lo que sugiere que estos ítems podrían no ajustarse bien a la estructura factorial.
Tabla 10
Comunalidades
|
Puro |
Reescalado |
|
|
Extracción |
Extracción |
|
|
Soy bueno resistiendo las tentaciones. |
,652 |
,456 |
|
Soy perezoso. |
,295 |
,340 |
|
Digo cosas inapropiadas. |
,439 |
,392 |
|
Hago ciertas cosas que son malas para mí, si son divertidas. |
,626 |
,420 |
|
Desearía tener más autodisciplina. |
1,265 |
,589 |
|
La gente diría que tengo una autodisciplina de hierro. |
,469 |
,352 |
|
El placer y la diversión a veces me impiden terminar el trabajo. |
,559 |
,475 |
|
Tengo problemas para concentrarme. |
,968 |
,555 |
|
A veces no puedo detenerme de hacer algo, incluso si sé que está mal. |
,617 |
,498 |
|
A menudo actúo sin pensar en todas las alternativas. |
,469 |
,411 |
|
Método de extracción: factorización de eje principal. |
||
Tabla 11
Varianza total explicada
|
Factor |
Autovalores inicialesa |
Sumas de cargas al cuadrado de la extracción |
Sumas de cargas al cuadrado de la rotación |
|||||||
|
Total |
% de varianza |
% acumulado |
Total |
% de varianza |
% acumulado |
Total |
% de varianza |
% acumulado |
||
|
Reescalado |
1 |
5,431 |
39,663 |
39,663 |
3,347 |
33,469 |
33,469 |
2,308 |
23,080 |
23,080 |
|
2 |
1,695 |
12,377 |
52,040 |
,592 |
5,920 |
39,390 |
1,222 |
12,222 |
35,302 |
|
|
3 |
1,597 |
11,664 |
63,704 |
,548 |
5,481 |
44,870 |
,957 |
9,569 |
44,870 |
|
|
4 |
,992 |
7,248 |
70,952 |
|||||||
|
5 |
,875 |
6,387 |
77,339 |
|||||||
|
6 |
,801 |
5,852 |
83,191 |
|||||||
|
Reescalado |
7 |
,729 |
5,324 |
88,515 |
||||||
|
8 |
,685 |
5,003 |
93,518 |
|||||||
|
9 |
,463 |
3,384 |
96,901 |
|||||||
|
10 |
,424 |
3,099 |
100,000 |
|||||||
Nota: Elaboración propia mediante SPSS. Método de extracción: factorización de eje principal. Al analizar una matriz de covarianzas, los autovalores iniciales son los mismos entre la solución re-escalada y pura (2025).
Tabla 12
Matriz de factor rotado
|
Reescalado |
|||
|
Factor |
|||
|
1 |
2 |
3 |
|
|
A1) Soy bueno resistiendo las tentaciones. |
,647 |
||
|
A2) Soy perezoso. |
,569 |
||
|
A3) Digo cosas inapropiadas. |
,577 |
||
|
A4) Hago ciertas cosas que son malas para mí, si son divertidas. |
,588 |
||
|
A5) Desearía tener más autodisciplina. |
,723 |
||
|
A6) La gente diría que tengo una autodisciplina de hierro. |
,573 |
||
|
A7) El placer y la diversión a veces me impiden terminar el trabajo. |
,571 |
||
|
A8) Tengo problemas para concentrarme. |
,587 |
||
|
A10) A veces no puedo detenerme de hacer algo, incluso si sé que está mal. |
,637 |
||
|
A11) A menudo actúo sin pensar en todas las alternativas. |
,555 |
||
Nota: Elaboración propia mediante SPSS. Método de extracción: factorización de eje principal. Método de rotación: Varimax con normalización Kaiser. La rotación ha convergido en 6 iteraciones (2025).
Esta última observación coincide con los resultados del alfa de Cronbach, reforzando la posibilidad de que dicho ítem no contribuya de manera adecuada a la escala. El análisis de la varianza explicada reveló la presencia de tres factores principales, que en conjunto explican el 44,87 % de la varianza tras la rotación. La solución de tres factores resultó razonable según el criterio de Kaiser, ya que todos presentaron autovalores superiores a uno.
Al interpretar los factores mediante la matriz rotada con el método Varimax, se observó que los ítems se agrupan en tres dimensiones bien definidas. El primer factor, asociado con la impulsividad y la falta de autocontrol, incluyó ítems como “Soy perezoso” (0,569), “Digo cosas inapropiadas” (0,577), “Hago ciertas cosas que son malas para mí, si son divertidas” (0,588) y “A veces no puedo detenerme de hacer algo, incluso si sé que está mal” (0,637). Esta dimensión refleja la tendencia a actuar impulsivamente sin considerar las consecuencias. El segundo factor, relacionado con la autodisciplina y la regulación cognitiva, estuvo compuesto por ítems como “Desearía tener más autodisciplina” (0,723) y “Tengo problemas para concentrarme” (0,587), lo que sugiere que mide dificultades en la autorregulación y la concentración en objetivos a largo plazo. Finalmente, el tercer factor, vinculado a la resistencia a la tentación y la autodisciplina percibida, incluyó ítems como “Soy bueno resistiendo las tentaciones” (0,647) y “La gente diría que tengo una autodisciplina de hierro” (0,573), lo que parece reflejar la percepción tanto propia como externa del autocontrol. A partir de estos resultados, se puede establecer que, en términos generales, el modelo factorial es aceptable y respalda la validez del instrumento.
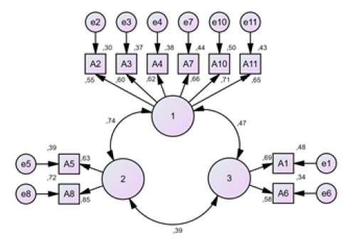
Finalmente, el análisis factorial confirmatorio (diagrama 1, Tablas 13) arrojó un error cuadrático medio de aproximación (Root Mean Square Error of Approximation o RMSEA) que obtuvo un valor de 0,063, con un intervalo de confianza al 90% entre 0,031 y 0,092, y un p-close de 0,222. Este resultado sugiere un ajuste aceptable, ya que el RMSEA es menor a 0,08 y su límite inferior indica que el modelo podría representar bien la estructura latente en la población. Además, el p-close superior a 0,05 refuerza la idea de que el modelo no debe rechazarse por un mal ajuste.
Los índices de ajuste comparativos ofrecen una visión más clara sobre la calidad del modelo. El Índice de ajuste comparativo (Comparative Fit Index, CFI) alcanzó un valor de 0,951 y el Índice Tucker-Lewis (Tucker-Lewis Index, TLI) un 0,931, ambos dentro del rango considerado adecuado, aunque el TLI idealmente debería ser mayor a 0,95. Asimismo, el Índice de ajuste incremental (Incremental Fit Index, IFI) presentó un valor de 0,952, lo que refuerza la solidez del ajuste. En contraste, los valores del Índice de ajuste normado (Normed Fit Index, NFI) y el Índice de ajuste relativo (Relative Fit Index, RFI) fueron más bajos, con 0,888 y 0,843, respectivamente, aunque aún dentro de márgenes aceptables. En conjunto, estos indicadores sugieren que el modelo en general presenta un ajuste adecuado.
En relación con los pesos de regresión estandarizados (Tabla 13), que reflejan la capacidad de cada ítem para representar su respectivo factor, se encontró que todas las cargas factoriales superan el umbral de 0,50, lo que indica una representación aceptable. En el primer factor, los ítems A2, A3, A4, A7, A10 y A11 mostraron cargas satisfactorias, con valores entre 0,547 y 0,710, destacando especialmente el ítem A10 con la carga más alta. En el segundo factor, A8 obtuvo un valor de 0,848, lo que sugiere una fuerte relación con la dimensión subyacente, mientras que A5 alcanzó 0,626, también dentro de un rango aceptable. Por su parte, el tercer factor incluyó los ítems A1 y A6, con cargas de 0,691 y 0,580, respectivamente. Dado que todas las cargas factoriales superan 0,50, no se considera necesario eliminar ningún ítem por baja representación del constructo (diagrama 1).
Diagrama 1
Modelo dimensional del constructo autocontrol
Tabla 13
Peso de regresión estandarizada
|
Indicador |
|||
|
A2 |
<--- |
1 |
,547 |
|
A3 |
<--- |
1 |
,605 |
|
A4 |
<--- |
1 |
,620 |
|
A7 |
<--- |
1 |
,660 |
|
A10 |
<--- |
1 |
,710 |
|
A11 |
<--- |
1 |
,652 |
|
A1 |
<--- |
3 |
,691 |
|
A6 |
<--- |
3 |
,580 |
|
A8 |
<--- |
2 |
,848 |
|
A5 |
<--- |
2 |
,626 |
En cuanto a las correlaciones entre factores (Tablas 14 y 15), los resultados mostraron que el primer y el segundo factor tienen una correlación alta de 0,745, aunque dentro de un rango aceptable. La relación entre el primer y el tercer factor fue moderada, con un valor de 0,467, mientras que la asociación entre el segundo y el tercer factor resultó moderada-baja, con 0,394.
Tabla 14
Correlaciones entre factores o dimensiones
|
Estimate |
|||
|
1 |
<--> |
3 |
,467 |
|
2 |
<--> |
1 |
,745 |
|
2 |
<--> |
3 |
,394 |
Tabla 15
Correlaciones y Raíz de AVE
|
Correlaciones Factoriales y Raíz de AVE |
1 |
2 |
3 |
|
1 |
Raíz de AVE: 0,632 |
||
|
2 |
0,745 |
Raíz de AVE: 0,748 |
|
|
3 |
0,467 |
0,394 |
Raíz de AVE: 0,640 |
Estas correlaciones sugieren que los factores están relacionados, pero siguen siendo constructos diferenciables, lo cual es un aspecto deseable en modelos factoriales confirmatorios. El análisis de fiabilidad y validez reveló ciertas limitaciones en la estructura factorial. En términos de confiabilidad compuesta, el primer factor obtuvo un Alfa de Cronbach de 0,80, lo que indica una buena consistencia interna. Sin embargo, el segundo factor mostró una confiabilidad moderada con un valor de 0,69, mientras que el tercer factor presentó un coeficiente de 0,57, lo que sugiere problemas de consistencia interna.
En cuanto a la validez convergente (Tablas 15 y 16), evaluada a través de la varianza extraída promedio (Fornell & Larcker, 1981), el primer y el tercer factor presentaron valores insuficientes, con 0,40 y 0,41 respectivamente, mientras que el segundo factor alcanzó un valor satisfactorio de 0,56.
Tabla 16
Validez convergente, validez discriminante y confiabilidad de dimensiones
|
Alfa de Cronbach |
AVE |
Raíz de AVE |
|
|
1 |
0,80 |
0,40 |
0,632 |
|
2 |
0,69 |
0,56 |
0,748 |
|
3 |
0,57 |
0,41 |
0,640 |
En contraste, la validez discriminante fue cuestionable, ya que la raíz cuadrada de la Varianza Media Extraída (AVE, Average Variance Extracted) de cada factor no fue mayor que su correlación con los demás factores, lo que indica que las dimensiones tienen problemas de diferenciación entre sí. A partir de estos hallazgos, se sugiere revisar los ítems del tercer factor debido a su baja confiabilidad y discriminancia. Además, podría ser conveniente agregar o modificar ítems en los factores uno y tres con el objetivo de mejorar la varianza extraída promedio. Finalmente, dado que los factores uno y dos presentan una correlación alta, sería recomendable evaluar el uso unidimensional de la escala, el cual sí presenta una alta confiabilidad, como se revisó anteriormente.
5. Conclusiones
El presente estudio permitió evaluar la validez y confiabilidad de la versión en español de la escala breve de autocontrol en un contexto laboral, proporcionando evidencia empírica sobre su estructura factorial y consistencia interna. A través de un análisis estadístico, se identificaron tres factores subyacentes que reflejan distintas dimensiones del autocontrol, asociadas a la impulsividad, la regulación cognitiva y la resistencia a la tentación. Si bien el modelo factorial mostró un ajuste adecuado en términos de los indicadores de bondad de ajuste, algunos ítems presentaron comunalidades y cargas factoriales relativamente bajas, lo que sugiere la necesidad de revisar su inclusión en futuras aplicaciones del instrumento.
La confiabilidad de la escala resultó aceptable en general, con un Alfa de Cronbach de 0,817 tras la eliminación de un ítem, lo que indica una adecuada consistencia interna. No obstante, se observaron dificultades en la fiabilidad de algunos factores, particularmente el tercero, cuya baja confiabilidad podría comprometer la precisión en la medición de esta dimensión específica.
Asimismo, los análisis de validez convergente evidenciaron que dos de los tres factores no alcanzan el umbral recomendado, lo que señala la necesidad de mejorar la representación del constructo mediante la inclusión o modificación de ciertos ítems. Por otro lado, la validez discriminante tampoco fue satisfactoria, lo que confirma la recomendación de usar la escala de forma unidimensional.
En este sentido, las correlaciones entre factores indicaron que, aunque se trata de constructos distintos, algunos presentan relaciones estrechas, lo que plantea la posibilidad de explorar un modelo alternativo con una estructura unidimensional. En particular, la alta correlación entre los factores uno y dos sugiere que podrían formar parte de una dimensión más general del autocontrol, lo que amerita un examen más detallado en estudios futuros. En conclusión, los resultados obtenidos respaldan en términos generales la adecuación de la escala para evaluar el autocontrol en el ámbito laboral para el idioma español, aunque se identificaron ciertas limitaciones que requieren ajustes en su estructura factorial y en la formulación de algunos ítems. La revisión y refinamiento del instrumento contribuirán a mejorar su precisión y aplicabilidad en investigaciones futuras, facilitando su uso como herramienta válida y confiable para medir el autocontrol en contextos organizacionales de idioma español.
Referencias
Álvarez-Maldonado, D., Barrientos-Oradini, N., Araneda-Reyes, M., Aparicio-Puentes, C., & Cofré-Sandoval, F. (2024). Self-control and academic performance. A comprehensive review and empirical study. Encuentros, 22(02-Julio-dic.), 43-57. https://doi.org/10.15665/encuen.v22i02-Julio-dic..3381
Bago, B., & De Neys, W. (2019). The intuitive greater good: Testing the corrective dual process model of moral cognition. Journal of Experimental Psychology: General, 148(10), 1782. https://doi.org/10.1037/xge0000533
Churchill Jr, G. A. (1979). A paradigm for developing better measures of marketing constructs. Journal of Marketing Research, 16(1), 64-73. https://doi.org/10.1177/002224377901600110
Claro, Y., Fernández, L., Toledo Amador, A., Molerio Pérez, O., & González Reyes, A. (2005). Programa para estimular autocontrol emocional en población laboral con ansiedad del Área Previsora. Municipio Camagüey. Humanidades Médicas, 5(3), 0-0. http://scielo.sld.cu/scielo.php?pid=s1727-81202005000300007&script=sci_arttext
Da Costa, S., Páez, D., Oriol, X., & Unzueta, C. (2014). Regulación de la afectividad en el ámbito laboral: validez de las escalas de heteroregulación EROS y EIM. Revista de Psicología del Trabajo y de las Organizaciones, 30(1), 13-22. https://doi.org/10.5093/tr2014a2
De Ridder, D. T., De Boer, B. J., Lugtig, P., Bakker, A. B., & van Hooft, E. A. (2011). Not doing bad things is not equivalent to doing the right thing: Distinguishing between inhibitory and initiatory self-control. Personality and Individual Differences, 50(7), 1006-1011. https://doi.org/10.1016/j.paid.2011.01.015
Del Valle, M., Galli, J. I., Urquijo, S., & Canet Juric, L. (2019). Adaptación al español de la Escala de Autocontrol y de la Escala de Autocontrol-Abreviada y evidencias de validez en población universitaria. Revista Argentina de Ciencias del Comportamiento, 11(2), 52-64.
Delgado-Benavides, J. C., & Henríquez-Coronel, M. A. (2021). Importancia del autocontrol docente frente al rol profesional. Polo del conocimiento, 6(4), 153-172. https://doi.org/10.23857/pc.v6i4.2545
Douglas, S. C., & Martinko, M. J. (2001). Exploring the role of individual differences in the prediction of workplace aggression. Journal of Applied Psychology, 86(4), 547. https://doi.org/10.1037/0021-9010.86.4.547
Duckworth, A. L., y Kern, M. L. (2011). A meta-analysis of the convergent validity of self-control measures. Journal of Research in Personality, 45(3), 259-268. https://doi.org/10.1016/j.jrp.2011.02.004
Evans, J. S. B. (2008). Dual-processing accounts of reasoning, judgment, and social cognition. Annual Review of Psychology, 59(1), 255-278. https://doi.org/10.1146/annurev.psych.59.103006.093629
Ferrari, J. R., Stevens, E. B., & Jason, L. A. (2009). The relationship of self-control and abstinence maintenance: An exploratory analysis of self-regulation. Journal of Groups in Addiction & Recovery, 4(1/2), 32. https://doi.org/10.1080/15560350802712371
Fornell, C., & Larcker, D. F. (1981). Evaluating structural equation models with unobservable variables and measurement error. Journal of Marketing Research, 18(1), 39-50. https://doi.org/10.1177/00222437810180010
Freud, S. (1991). Obras completas de Sigmund Freud. Volumen XIII - Tótem y tabú, y otras obras (1913-1914) (J. L. Etcheverry, Trad.). Amorrortu editores.
Freud, S. (1992). Obras completas de Sigmund Freud. Volumen XIV - Contribución a la historia del movimiento psicoanalítico, trabajos sobre metapsicología y otras obras (1914-1916) (J. L. Etcheverry, Trad.). Amorrortu editores.
Freud, S. (1992). Obras completas de Sigmund Freud. Volumen XVIII - Psicología de las masas y el análisis del yo (J. L. Etcheverry, Trad.). Amorrortu editores.
Freud, S. (1992). Obras completas de Sigmund Freud. Volumen XXI - El malestar en la cultura (J. L. Etcheverry, Trad.). Amorrortu editores.
Gaitán, G., & Medina, M. P. (2014). El autocontrol como herramienta básica del mejoramiento continuo empresarial y del individuo. Dictamen Libre, (14-15), 105-110. https://doi.org/10.18041/2619-4244/dl.14-15.3135
Haug, M. C. (2022). Silencing, Psychological Conflict, and the Distinction Between Virtue and Self-Control. The Journal of Ethics, 26(1), 93-114. https://doi.org/10.1007/s10892-021-09381-3
Lam, C. F., Johnson, H. H., Song, L. J., Wu, W., Lee, C., & Chen, Z. (2022). More depleted, speak up more? A daily examination of the benefit and cost of depletion for voice behavior and voice endorsement. Journal of Organizational Behavior, 43(6), 983-1000. https://doi.org/10.1002/job.2620
Lanaj, K., Johnson, R. E., & Barnes, C. M. (2014). Beginning the workday yet already depleted? Consequences of late-night smartphone use and sleep. Organizational Behavior and Human Decision Processes, 124(1), 11-23. https://doi.org/10.1016/j.obhdp.2014.01.001
Lian, H., Yam, K. C., Ferris, D. L., & Brown, D. (2017). Self-control at work. Academy of Management Annals, 11(2), 703-732. https://doi.org/10.5465/annals.2015.0126
Lin, S. H. J., & Johnson, R. E. (2015). A suggestion to improve a day keeps your depletion away: Examining promotive and prohibitive voice behaviors within a regulatory focus and ego depletion framework. Journal of Applied Psychology, 100(5), 1381. https://doi.org/10.1037/apl0000018
Loewenstein, G. (1996). Out of control: Visceral influences on behavior. Organizational Behavior and Human Decision Processes, 65(3), 272-292. https://doi.org/10.1006/obhd.1996.0028
López-Mena, L. (2000). Habilidades de autocontrol aplicadas a la seguridad en el trabajo. Revista de Psicología, 9(1), 58-61. https://doi.org/10.5354/0719-0581.2000.18546
Maloney, P. W., Grawitch, M. J., & Barber, L. K. (2012). The multi-factor structure of the Brief Self-Control Scale: Discriminant validity of restraint and impulsivity. Journal of Research in Personality, 46(1), 111-115. https://doi.org/10.1016/j.jrp.2011.10.001
Marcus, B., & Schuler, H. (2004). Antecedents of counterproductive behavior at work: a general perspective. Journal of Applied Psychology, 89(4), 647. https://doi.org/10.1037/0021-9010.89.4.647
Martín, E. G. (2000). Autoeficacia en el mundo laboral. Apuntes de Psicología, 9-38. https://doi.org/10.55414/f5pfsa15
Matta, F. K., Scott, B. A., Colquitt, J. A., Koopman, J., & Passantino, L. G. (2017). Is consistently unfair better than sporadically fair? An investigation of justice variability and stress. Academy of Management Journal, 60(2), 743-770. https://doi.org/10.5465/amj.2014.0455
Olivares, M. O. (2009). El autocontrol laboral en los híbridos toyotistas. Veredas, Revista del Pensamiento Sociológico, (16), 233-251. https://veredasojs.xoc.uam.mx/index.php/veredas/article/view/198
Orti, A. C. M., & Nasarre, F. O. (2022). Factores humanos: El error Humano y las técnicas de autocontrol. Gestión práctica de riesgos laborales: Integración y desarrollo de la gestión de la prevención, (204), 7. https://www.researchgate.net/publication/381522521_RIESGOS_PSICOSOCIALES_Factores_humanos_El_error_Humano_y_las_tecnicas_de_autocontrol
Postigo, Á., Cuesta, M., & García-Cueto, E. (2021). Personalidad emprendedora, responsabilidad, autocontrol y grit: El lado psicológico del autoempleo. Anales de Psicología/Annals of Psychology, 37(2), 361-370. https://doi.org/10.6018/analesps.453711
Roselló, B., Berenguer, C., & Baixauli, I. (2019). La inhibición, el autocontrol emocional, la memoria de trabajo y la supervisión ¿predicen las manifestaciones típicas de adultos con TDAH? Revista INFAD de Psicología. International Journal of Developmental and Educational Psychology, 2(1), 181-192. https://doi.org/10.17060/ijodaep.2019.n1.v2.1428
Saavedra, P., & De Jesus, F. (2019). Inteligencia emocional y desempeño laboral de los docentes de la Institución Educativa Santa Teresa de Jesús-Sullana. http://repositorio.usanpedro.edu.pe/handle/USANPEDRO/11625
Tangney, J. P., Baumeister, R. F., & Boone, A. L. (2004). High Self-Control Predicts Good Adjustment, Less Pathology, Better Grades, and Interpersonal Success. Journal of Personality, 72(2), 271-324. https://doi.org/10.1111/j.0022-3506.2004.00263.x
Tesen, D. M. (2022). Control interno y desempeño laboral del personal del Gobierno Regional de Piura. https://hdl.handle.net/20.500.12692/111633
Trinxet, F. S., & Cvitanic, V. S. (2003). Control del estrés laboral en los profesores mediante educación emocional. Revista de Psicología, 12(1), 30-37. https://doi.org/10.5354/0719-0581.2003.17378
Tripathi, P., & Priyadarshi, P. (2024). Self-control and emotional exhaustion: mediating role of effort-reward imbalance and emotional demands. International Journal of Organizational Analysis, 32(8), 1464-1482. https://doi.org/10.1108/IJOA-03-2023-3690
Trougakos, J. P., Beal, D. J., Green, S. G., & Weiss, H. M. (2008). Making the break count: An episodic examination of recovery activities, emotional experiences, and positive affective displays. Academy of Management Journal, 51(1), 131-146. https://doi.org/10.5465/AMJ.2008.30764063
Zepeda, K. I. A. (2019). Inteligencia emocional y su relación en el desempeño laboral. Revista Naturaleza, Sociedad y Ambiente, 6(1), 57-67. https://doi.org/10.37533/cunsurori.v6i1.41