Universidad del Zulia (LUZ)

Revista Venezolana de Gerencia (RVG)

Año 30 No. Especial 13, 2025, 233-248

Enero-Junio

ISSN 1315-9984 / e-ISSN 2477-9423

Como citar: Granda-Campoverde, R., Bermeo-Valencia, C., y Bermeo-Valencia, G. (2025). Capacidades dinámicas en PYMES para la gestión de crisis y el desempeño operacional. Revista Venezolana De Gerencia30(Especial 13), 233-248. https://doi.org/10.52080/rvgluz.30.especial13.15

Capacidades dinámicas en PYMES para la gestión de crisis y el desempeño operacional

Villena Presentación, Ricardo*

Garcia Janampa, Leydi Paola**

Resumen

La presente investigación busca identificar y determinar las capacidades de los directivos de las PYMES en la gestión de crisis, centrándose en las capacidades dinámicas: detección, captura y transformación. Está investigación contribuye a la comprensión de la gestión de crisis en las PYMES y proporcionará información valiosa para mejorar la resiliencia y el rendimiento de este importante sector económico. El diseño de investigación es cuantitativo, no experimental, transversal y causal, los datos fueron recopilados a través de un cuestionario basado en la escala de Likert diseñado para medir las capacidades dinámicas para la gestión de crisis y el rendimiento operacional analizándose mediante ecuaciones estructurales. Los hallazgos revelaron que la capacidad de transformación, fundamentada en la naturaleza de cada PYME, es la que tiene mayor impacto en los resultados operacionales (β= 1.05). La investigación aborda la escasez de investigación de la gestión de crisis basadas en capacidades dinámicas en PYMES en un contexto latinoamericano. Contribuyendo en el conocimiento sobre estas capacidades pueden mejorar el rendimiento y la sostenibilidad de las PYMES en un ambiente incierto.

Palabras clave: gestión de crisis; capacidades dinámicas; PYMES; rendimiento operacional; resiliencia organizacional.

Recibido: 20.01.25 Aceptado: 12.03.25

* Doctor en Administración, Administración. Universidad Nacional Federico Villarreal. Email: ricardovillenap@gmail.com ORCID: https://orcid.org/0000-0002-4858-8267

** Administración Pública, Administración - Universidad Nacional Federico Villarreal. Email: garcialeydi130@gmail.com ORCID: https://orcid.org/0009-0003-7158-148X

Dynamic SME capabilities for crisis management and operational performance

Abstract

This research seeks to identify and determine the capacities of SME managers in crisis management, focusing on dynamic capacities: detection, capture and transformation. This research contributes to the understanding of crisis management in SMEs and will provide valuable information to improve the resilience and performance of this important economic sector. The research design is quantitative, non-experimental, cross-sectional and causal. The data were collected through a questionnaire based on the Likert scale designed to measure dynamic capacities for crisis management and operational performance by analyzing through structural equations. The findings revealed that the capacity for transformation, based on the nature of each SME, is the one that has the greatest impact on operational results (β= 1.05). The research addresses the paucity of research on crisis management based on dynamic capacities in SMEs in a Latin American context. Contributing knowledge about these capabilities can improve the performance and sustainability of SMEs in an uncertain environment.

Keywords: crisis management; dynamic capabilities; SME’s; operational performance; organizational resilience.

1. Introducción

Las pequeñas y medianas empresas se caracterizan por ser heterogéneas por el acceso a tecnologías, mercados y capital humano, siendo esenciales en Latinoamérica, representando el 98% del total de las empresas y el 67% de la P.E.A. de la región (CEPAL, 2022). En el Perú representa el 75% de la P.E.A. Sin embargo, el 75% trabaja en la informalidad (INEI, 2017), lo que limita su capacidad de financiamiento y acceso a diferentes recursos que inciden en problemas recurrentes como la baja productividad, falta de automatización, una logística incipiente, márgenes volátiles condicionados a la coyuntura económica y limitaciones para el acceso a créditos (Villena et al., 2024), enfrentándose así a grandes retos para competir en un mercado globalizado.

Los retos que enfrentan las pequeñas y medianas empresas se incrementan por las crisis que lo amenazan (Schwarz, 2017), como la pandemia del COVID-19 que afectó las actividades comerciales y operacionales (García-Contreras et al., 2021). En la pandemia, las pequeñas y medianas empresas se enfrentaron a desafíos críticos que les permitieron demostrar su resiliencia ante entornos inciertos y economías cerradas (Castro & Moreira, 2024; Le et al., 2024; Shore et al., 2024; Villena et al., 2023; Zhang et al., 2023), desarrollando soluciones creativas e innovadoras para abordar ambientes volátiles y disruptivos (Shore et al., 2024).

La mayoría de las crisis suelen originarse por eventos no planeados como los desastres naturales o crisis empresariales que implican amenazas a las organizaciones (Amornwattahcharoenchai & Naipinit, 2024; Iershova et al., 2024; Zhang et al., 2023). Específicamente, la pandemia del COVID-19 se considera un evento crítico para las pequeñas y medianas empresas debido al alto daño económico y por la lentitud de su recuperación (Amornwattahcharoenchai & Naipinit, 2024; Castro & Moreira, 2024; Zhang et al., 2023). A pesar de los retos y dificultades que han tenido, como las crisis económicas y baja accesibilidad de los recursos, las PYMES poseen capacidades que los impulsan a recuperarse económicamente, como la habilidad para reaccionar rápidamente a efectos externos que amenacen su futuro (Castro & Moreira, 2024).

Después de la pandemia, las PYMES enfrentan entornos volátiles y complejos con elementos disruptivos que dificultan su sostenibilidad. En ese contexto buscan el equilibrio entre las oportunidades, la sostenibilidad, la falta de oportunidad y la supervivencia a largo plazo (Castro & Moreira, 2024; Miocevic, 2024; Zhang et al., 2023). Las capacidades dinámicas tienen un rol crítico al permitir a las organizaciones responder eficientemente a los eventos disruptivos, mitigando su impacto negativo (Chatterjee, 2024).

Las PYMES operan en entornos complejos y volátiles, donde es indispensable una óptima gestión de crisis que les permita mitigar los efectos negativos en sus resultados operacionales. Sin embargo, el conocimiento de la gestión de crisis es limitado debido a la diversidad y a sus vulnerabilidades características de estas organizaciones (Clauss et al., 2022; Durst et al., 2021; Rathee et al., 2025; Sudan & Taggar, 2024). Estas organizaciones enfrentan eventos disruptivos que obligan a activar estrategias específicas de gestión de crisis con la finalidad de enfrentarlo y volver a la normalidad lo más pronto posible (Al Omoush et al., 2023; Amornwattahcharoenchai & Naipinit, 2024).

Las investigaciones acerca de la gestión de crisis en las PYMES en vías de desarrollo y Perú son limitadas; con la presente investigación se pretende identificar y determinar las capacidades de los directivos de las PYMES en la gestión de crisis, centrándose en las capacidades dinámicas: detección, captura y transformación. Para ello se emplea un enfoque cuantitativo mediante ecuaciones estructurales en una muestra de PYMES en Lima. Los hallazgos obtenidos permitirán entender las capacidades necesarias para enfrentar los eventos disruptivos y mejorar la resiliencia de las PYMES de la región.

2. Capacidades dinámicas: revisión de literatura

La crisis ocurre cuando un evento con baja probabilidad de ocurrencia tiene un alto impacto, haciendo peligrar la viabilidad y sostenibilidad de las organizaciones (Amornwattahcharoenchai & Naipinit, 2024; Grözinger et al., 2023; Puthusserry et al., 2022). En esas circunstancias son indispensables acciones inmediatas y decididas de las organizaciones (Amornwattahcharoenchai & Naipinit, 2024; Clauss et al., 2022). Los eventos disruptivos provocan las crisis que obligan a las organizaciones a reconfigurarse con la finalidad de hacer frente a nuevos retos (Puthusserry et al., 2022). En el caso de las pequeñas y medianas empresas, por sus características y estilo de gestión, son consideradas vulnerables a la crisis debido a la carencia de recursos y la baja preparación para administrar los nuevos entornos (Clauss et al., 2022; Hoelscher & Garcia, 2024; Toubes et al., 2021). La vulnerabilidad de las pequeñas y medianas empresas frente a la crisis también está vinculada a la falta de control, insuficiente liquidez, al tiempo de respuesta limitado, las creencias y a la escasa habilidad de planificación estratégica (Clauss et al., 2022; Durst et al., 2021).

 La gestión de crisis es definida como un proceso sistemático en el que los miembros de la organización junto con los grupos de interés trabajan para evitar las crisis potenciales y minimizar sus impactos (Clauss et al., 2022): El proceso consta de tres etapas:

  1. Promover una rápida recuperación de la organización de los eventos considerados como disruptivos considerando como medio para desarrollar capacidades futuras (Puthusserry et al., 2022);
  2. Identificar nuevas fortalezas potenciales en la organización monitoreado el cambio de los entornos (Clauss et al., 2022);
  3. Siendo críticos para las organizaciones debido a que la crisis generalmente generan caos e incertidumbres, que son difíciles de gestionar (Amornwattahcharoenchai & Naipinit, 2024).

Con referente a las pequeñas y medianas empresas, su capacidad de ser adaptativas y flexibles les permite mitigar los efectos negativos de las crisis y tomar decisiones rápidas, soportadas por atributos relevantes tales como la resiliencia y la innovación. (Durst et al., 2021). La resiliencia organizacional es la capacidad para auto organizarse y el desarrollo de habilidades que les permita operar en las turbulencias, mientras integran conocimientos estratégicos, apoyo gerencial y tecnologías adaptadas a la cadena de suministros (Gunasekaran et al., 2011; Jaboob et al., 2025). En tiempo de crisis se espera que los líderes de las PYMES se esfuercen para regresar al estatus quo mientras buscan oportunidades de cambio (Toubes et al., 2021).

La gestión de crisis se desarrolla en los siguientes estados: Precrisis, crisis y postcrisis (Klyver & Nielsen, 2024; Zhang et al., 2023); esta gestión requiere disciplina, conocimiento, iniciativa, imaginación, situando al talento humano como centro de las soluciones (Zhang et al., 2023). La resiliencia es ampliamente investigada para gestionar las crisis. Sin embargo, todavía existe insuficiente investigación relacionada con las pequeñas y medianas empresas, especialmente en la etapa de precrisis, ignorando su heterogeneidad (Klyver & Nielsen, 2024).

El liderazgo es clave en la gestión de crisis, destacándose el liderazgo contingente que permite llevar a buen camino la organización en la incertidumbre del entorno (Amornwattahcharoenchai & Naipinit, 2024). Este tipo de liderazgo coadyuva a la adaptación a los cambios rápidos de los entornos dinámicos.

La literatura sugiere que las capacidades dinámicas de las pequeñas y medianas empresas son importantes para enfrentar las crisis. Además, se ha demostrado que son determinantes para superar la etapa de crisis y aumentar el rendimiento operacional (Goll & Zieba, 2025). Adicionalmente, el SEM es una robusta herramienta para analizar las relaciones causales (Uzkurt et al., 2023). Sin embargo, existe escaza investigación que demuestre las relaciones de las capacidades dinámicas con los resultados operacionales de las pequeñas y medianas empresas en un entorno de crisis (Chatterjee, 2024).

3. Perspectiva metodológica

El método de investigación es cuantitativo, no experimental, transversal y causal; se considera cuantitativo debido a que los resultados obtenidos fueron procesados mediante procedimientos de ecuaciones estructurales, que permitieron encontrar la relación causal entre la gestión de crisis basada en capacidades y el rendimiento operacional obtenido.

El instrumento utilizado es un cuestionario que fue desarrollado mediante la revisión de literatura de artículos indizados en base de datos de Scopus. El cuestionario está desarrollado en escala de Likert que permite capturar las percepciones de los líderes de las PYMES, siendo (1) muy bajo; (2) bajo; (3) medio; (4) alto y (5) muy alto. El levantamiento de información se realizó mediante encuestas que fueron tomadas en un momento determinado sin manipular las variables. Las entrevistas fueron realizadas de manera virtual y presencial; se informó a los encuestados (líderes de pequeñas y medianas empresas) del objetivo de la investigación y su consentimiento. La confiabilidad del instrumento se realizó mediante el alfa de Cronbach, obteniendo un valor de 0.87, siendo el instrumento confiable.

El tamaño de la muestra va a depender del requerimiento del modelo de ecuaciones estructurales de tal manera que aumente la precisión de sus resultados, la complejidad del modelo o la cantidad de las variables latentes. La literatura sugiere que sea entre 5 a 10 casos por variables latentes; en el estudio se presentan 5 variables latentes: Sensing capacity, seizing capacity, transformational capacity y el rendimiento. El tamaño de la muestra sería entre 20 a 50 muestras; otros estudios señalan que el tamaño de la muestra sea alrededor de 10 observaciones por parámetros a calcular, tales como cargas factoriales, varianzas y covarianzas, etc., haciendo un aproximado de 200 observaciones a realizar.

El tamaño de la muestra es crítico para el cálculo de las relaciones entre las variables (Miller et al., 2020). Investigadores señalan que el SEM tiene efecto cuando la muestra es grande, entre 200 y 300 (Eisenhauer et al., 2015; Miller et al., 2020). La muestra recogida en este estudio fue de 361 cuestionarios que fueron contestados por los directivos de las pequeñas y medianas empresas. Las entrevistas fueron personales y se ingresaron los resultados en Google Forms.

El objeto de estudio fueron las pequeñas y medianas empresas ubicadas en Lima; los ejecutivos y dueños contestaron de manera presencial el cuestionario y virtualmente, quienes fueron informados de los objetivos y los resultados de la investigación (diagrama 1).

Diagrama 1

Modelo estructural teórico antes del EFA y CFA

Diagrama

Descripción generada automáticamente

Con la finalidad de garantizar la precisión de los resultados se realizó el análisis factorial exploratorio y confirmatorio (Diagrama 2) con el uso de la biblioteca semopy en Python.

Diagrama 2

Modelo estructural teórico después del EFA y CFA

Diagrama

Descripción generada automáticamente

El método de ecuaciones estructurales es considerado un método de causa y efecto dentro de las relaciones multivariadas que está basado en reproducir la covarianza observada (Eisenhauer et al., 2015; Z. Wang et al., 2025; Weng et al., 2024), permitiendo la representación gráfica de relaciones complejas entre las variables; el ajuste del modelo explica la similitud de la covarianza estimada y observada.

4. Capacidades de los directivos de las PYMES en la gestión de crisis: Resultados

A continuación, se describen los resultados obtenidos a través de la aplicación del instrumento.

La gestión de crisis fue analizada mediante las capacidades de los directivos al enfrentar la crisis sanitaria del 2020 debido a la pandemia del COVID-19. Para medir la confiabilidad y la validez, se utilizó el análisis factorial confirmatorio. La validez es un set de indicadores que mide el reflejo de la teoría en los constructos (Hair et al., 2019; Korayim et al., 2025; S. Wang & Zhang, 2025). En la validez convergente, se midió mediante las cargas factoriales como resultante que van desde el 0.50 al 0.746, que son considerados como relaciones aceptables entre los indicadores y el constructo, siendo lo mínimo 0.5 y el ideal 0.7 (Hair et al., 2019).

Otra medida de la validez convergente es el AVE, siendo aceptables valores superiores a 0.5, que es una medida que señala cuanta varianza de las variables observables es explicada por el constructo; en el caso del estudio se observa que el AVE es ligeramente menor a lo teórico (Hair et al., 2019). La consistencia interna fue calculada mediante CR (medida de validez convergente), que explica cómo los indicadores están relacionados con el constructo. En el caso del estudio, se observa que el CR es ligeramente menor a lo teórico (Hair et al., 2019). Los resultados del alfa de Cronbach por cada constructo van desde 0.605324 al 0.644377, que son considerados aceptables (Tabla 1).

Tabla 1

Indicadores de confiabilidad y validez

Constructo

Indicador

Carga Factorial

AVE

CR

Coeficiente de Alpha.

F1 = SC

P3

0.585

0.381639

0.49863

0.644377

P4

0.668

P6

0.596

F2 = ZC

P12

0.746

0.464590

0.616081

0.622772

P13

0.61

F3= TC

P9

0.602

0.34383

0.441296

0.605324

P15

0.647

P16

0.50

Adicionalmente se analizó la validez discriminante mediante la matriz de Inter correlación entre los constructos, resultados que se muestran en la tabla 2.

Tabla 2

Matriz de intercorrelacion entre constructos

SC

ZC

TC

SC

ZC

0.357781

TC

0.451333

0.415720

En la se comprueba que las correlaciones entre constructos son bajas. Por tanto, se puede afirmar que no existen relaciones entre sí.

Después de realizar los análisis donde se encuentran cargas factoriales y alfa de Cronbach entre aceptables y meritorias, se obtuvo el AVE y CR ligeramente inferior a lo aceptable. Se procede a analizar las medidas de validez del modelo que incluyen a) establecer niveles de medidas de ajustes del modelo y b) encontrar otras evidencias de validez del constructo (Hair et al., 2019) que confirme la calidad de ajuste del modelo mediante prueba chi cuadrado con grados de libertad, el índice de Tucker Lewis (TLI), que es una medida de ajuste incremental que mide el ajuste del modelo propuesto con el modelo nulo.

Un p-value en chi2 >0.05, no significativo, implica que no hay suficiente evidencia para rechazar la hipótesis nula, que se refiere a que no existe diferencia entre el modelo propuesto y los datos observados. Con TLI: 0.981, muy cercano de uno, implica que el modelo propuesto tiene ajuste con el modelo observado. Un CFI cercano a uno implica que existe una excelente relación entre el modelo propuesto y el observado, con RMSEA menor a 0.05, indicando un ajuste excelente (tabla 3).

Tabla 3

Indicadores de bondad de ajuste

Índice de ajuste

Chi 2 – pvalue

TLI

CFI

RMSEA

Criterio

>0.05

Cerca de 1

>0.9

<0.05

Valor

0.157

0.981

0.989

0.031

En general, basándonos en estos resultados, podemos concluir que el modelo de análisis factorial confirmatorio tiene un buen ajuste global, considerándolo como un modelo sólido.

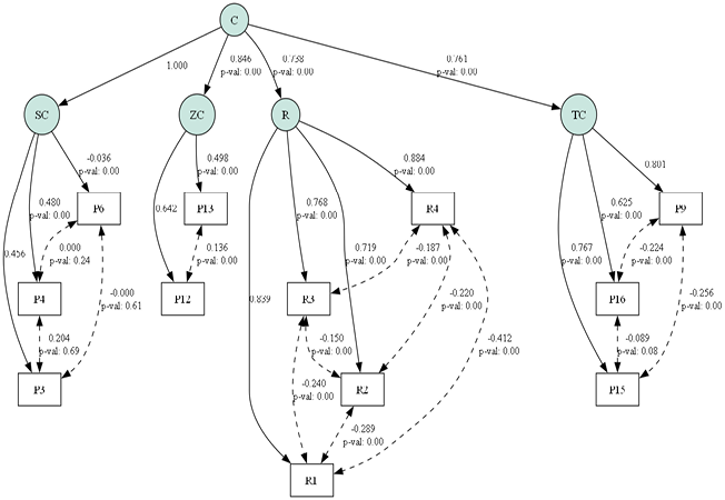
Las relaciones se presentan en la tabla entre los constructos de capacidades y el rendimiento con un p valor igual a 0 que implica que existe fuerte relación entre ambos constructos, implicando que los coeficientes estimados son diferentes de cero, en el caso de la relación entre capacidades y rendimientos presenta un β= 1.053467 siendo una relación alta, la estimación estándar es de 0.738124, que es considerado como la precisión de la estimación, al confirmar que el β > estimación estándar se comprueba la fuerte relación entre las capacidades y el rendimiento obtenido, el error estimado es de 0.152791 que señala la variabilidad de los coeficientes estimados, siendo este bajo comparado con los coeficientes β cuyo valor es 1.053467 (diagrama 3 y tabla 4). Se aplica la herramienta de ecuaciones estructurales como un modelo de análisis causal que permite a los investigadores cuantificar y probar las diferentes relaciones teóricas, presentando resultados confiables basados en teorías validadas (Raykov & Marcoulides, 2012). Incluye métodos como análisis de la estructura de covarianza y modelado de la estructura; la calidad de los resultados obtenidos va a depender de la validez de la teoría y su empleo en la formulación de las relaciones (Kline, 2016). Los datos que se procesan son variables no observables o latentes que se relacionan con otras variables, examinando estas relaciones mediante ecuaciones similares a la regresión múltiple (Miller et al., 2020).

Diagrama 3

Modelo estructural en SEM

Tabla 4

Resultados de las ecuaciones estructurales

lval

op

rval

Estimate

Est. Std

Std. Err

z-value

p-value

R

~

C

1,053467

0,738124

0,152791

6,894847

0

ZC

~

C

0,929765117

0,845530556

0,138180334

6,728636

0

TC

~

C

1,34923803

0,761464054

0,192137284

7,02226

0

SC

~

C

1

P3

~

SC

1

0,456456141

-

-

-

P4

~

SC

0,948243491

0,479639862

0,128811761

7,361467

0

P6

~

SC

-1,29148E+12

-0,035722448

6,92701E-14

-1,2E+24

0

P12

~

ZC

1

0,641862412

-

-

-

P13

~

ZC

0,876340219

0,498029584

0,11665445

7,512274

0

P9

~

TC

1

0,800784885

-

-

-

P15

~

TC

0,857059938

0,766647929

0,099313508

8,629843

0

P16

~

TC

0,707832202

0,624959651

0,0983713

7,195515

0

R1

~

R

1

0,838929732

-

-

-

R2

~

R

1,021183703

0,718579994

0,133192227

7,666992

0

R3

~

R

1,14051499

0,767969428

0,133320438

8,55469

0

R4

~

R

1,322525993

0,883732244

0,152544629

8,669764

0

Por consiguiente, la limitada investigación en gestión de crisis en pequeñas y medianas empresas de países en vías de desarrollo debe ser un incentivo para reducir las brechas de investigación con otras regiones. Es fundamental analizar las capacidades dinámicas de los líderes de organizaciones vulnerables, como las PYMES, ante eventos disruptivos.

La investigación realizada se basó en estudios previos y la validación del modelo se llevó a cabo mediante análisis factorial exploratorio y confirmatorio. Esta investigación sienta las bases para el desarrollo de futuras investigaciones en el país y la región, contribuyendo al avance del conocimiento en este campo.

Se recomienda realizar investigaciones comparativas con PYMES de diferentes países, analizando sus similitudes o diferencias en las capacidades de los líderes de esas organizaciones y cómo enfrentaron una crisis global, como la pandemia de COVID-19.

Se recomienda que las instituciones públicas que fomentan las PYMES elaboren políticas destinadas a fortalecer las capacidades dinámicas de los líderes de las organizaciones con la finalidad de potenciar la resiliencia organizacional, siguiendo estudios realizados por (Clauss et al., 2022). Asimismo, se sugiere que las instituciones financieras brinden facilidades a las PYMES que implementen políticas destinadas a fortalecer la resiliencia organizacional basada en capacidades dinámicas (Arnaudova et al., 2024; Koura et al., 2025; Suherman et al., 2024).

5. Conclusiones

La gestión de las pequeñas y medianas empresas en un entorno de crisis permitió gestionar estas organizaciones mediante las capacidades dinámicas, cuya relación es directa con el rendimiento operacional; se ha comprobado con un β= 1.053467. La última crisis mundial provocada por la pandemia de COVID-19 resaltó las capacidades dinámicas de los líderes de las PYMES, quienes enfrentaron las numerosas restricciones del entorno empresarial peruano. Estas capacidades permitieron mitigar sus efectos negativos en el rendimiento operacional y garantizar la sostenibilidad a corto plazo.

 Entre los aspectos más importantes de la presente investigación, se encuentra la identificación de la capacidad dinámica de transformación como relevante en las PYMES peruanas, que permite a los líderes gestionar rápidamente los recursos tecnológicos disponibles para enfrentar las variabilidades del mercado, ajustando el plan de cambio de acuerdo con la necesidad diaria y realizando las actividades de forma paralela con ajustes que se puedan presentar en su ejecución.

La investigación sobre la gestión de crisis en las PYMES peruanas y latinoamericanas es limitada. El propósito de esta investigación es identificar las capacidades dinámicas que permitan a las organizaciones enfrentar los eventos disruptivos. Los resultados revelaron que la capacidad de transformación es la que más impacta sobre los resultados operacionales, influyendo en los planes de cambio y adaptación con un β= 1.053467. La capacidad adaptativa, que es considerada como la habilidad para obtener información del mercado, también es relevante con un β = 0.94.

Según Rosenbäck & Eriksson (2024), las capacidades dinámicas son esenciales para que las organizaciones enfrenten escenarios disruptivos, como lo confirma la relación entre la capacidad dinámica y los resultados operacionales de la presente investigación. Sin embargo, no todas las capacidades dinámicas tienen el mismo impacto en la recuperación.

La capacidad adaptativa de los líderes de las PYMES es esencial para obtener información relevante del entorno, permitiendo a las organizaciones tomar decisiones más rápidas y anticiparse a eventos disruptivos. De esta manera, permite ajustar las estrategias; tiene un impacto en los rendimientos operacionales con un β = 0.94.

En las entrevistas con los directivos de las PYMES, se evidenció que carecen de un marco teórico sobre la gestión de crisis y las capacidades dinámicas. Sin embargo, implementan medidas que responden a sus experiencias y necesidades, lo que sugiere el desarrollo de un programa de capacitación y sensibilización con el objetivo de mitigar los efectos de las crisis en sus organizaciones y promover el conocimiento de protocolos para la gestión de crisis.

Referencias

Al Omoush, K., Lassala, C., & Ribeiro-Navarrete, S. (2023). The role of digital business transformation in frugal innovation and SMEs’ resilience in emerging markets. International Journal of Emerging Markets. https://doi.org/10.1108/IJOEM-12-2022-1937

Amornwattahcharoenchai, P., & Naipinit, A. (2024). The influence of crisis management and management tools on firm performance: Evidence from manufacturing SMEs in Thailand. Uncertain Supply Chain Management, 12(1), 533–540. https://doi.org/10.5267/j.uscm.2023.8.018

Arnaudova, R., Viza, E., & Cano, M. (2024). Rethinking risk management in times of crisis: the effect of COVID-19 on small and medium-sized enterprises in Scotland. TQM Journal. https://doi.org/10.1108/TQM-12-2022-0353

Castro, R., & Moreira, A. C. (2024). Unveiling paradoxes: navigating SMEs readiness in the post-pandemic normality. Cogent Business and Management, 11(1). https://doi.org/10.1080/23311975.2024.2330114

CEPAL. (2022). Estudio económico de América Latina y el Caribe 2022: Dinámica y desafíos de la inversión para impulsar una recuperación sostenible e inclusiva. In Estudio Económico de América Latina y el Caribe. https://www.cepal.org/es/publicaciones/48077-estudio-economico-america-latina-caribe-2022-dinamica-desafios-la-inversion

Chatterjee, A. (2024). Team mindfulness: A vital tool for boosting learning and adaptive capabilities. Development and Learning in Organizations, 38(6), 7–10. https://doi.org/10.1108/DLO-10-2023-0227

Clauss, T., Breier, M., Kraus, S., Durst, S., & Mahto, R. V. (2022). Temporary business model innovation – SMEs’ innovation response to the Covid-19 crisis. R and D Management, 52(2), 294–312. https://doi.org/10.1111/radm.12498

Durst, S., Svensson, A., & Acuache, M. M. G. P. (2021). Peruvian small and medium-sized enterprises in times of crisis—Or what is happening over time? Sustainability (Switzerland), 13(24), 1–18. https://doi.org/10.3390/su132413560

Eisenhauer, N., Bowker, M. A., Grace, J. B., & Powell, J. R. (2015). From patterns to causal understanding: Structural equation modeling (SEM) in soil ecology. Pedobiologia, 58(2–3), 65–72. https://doi.org/10.1016/j.pedobi.2015.03.002

García-Contreras, R., Valle-Cruz, D., y Canales-García, R. A. (2021). Selección organizacional: resiliencia y desempeño de las pymes en la era de la COVID-19. Estudios Gerenciales, 37(158), 73–84. https://doi.org/10.18046/j.estger.2021.158.4291

Goll, J., & Zieba, K. (2025). Hospitality Human Capital process model in crisis management: Managing human capital and revealing employees’ hidden capabilities. Tourism and Hospitality Research. https://doi.org/10.1177/14673584251313726

Grözinger, A.-C., Wolff, S., Ruf, P. J., Audretsch, D. B., & Moog, P. (2025). The impact of SME leader’s psychological capital on strategic responses during crisis. BRQ Business Research Quarterly28(1), 265–287. https://doi.org/10.1177/23409444231184481

Gunasekaran, A., Rai, B. K., & Griffin, M. (2011). Resilience and competitiveness of small and medium size enterprises: An empirical research. International Journal of Production Research, 49(18), 5489–5509. https://doi.org/10.1080/00207543.2011.563831

Hair, J. F., William, B., Babin, B., & Anderson, R. (2019). Multivariate Data Analysis (Cengage Le).

Miller, M., Tasic, I., Lyons, T., Ewing, R., & Grace, J. B. (2020). Structural Equation Modeling. En Advanced Quantitative Research Methods for Urban Planners (pp. 185–215). Routledge.

Hoelscher, K., & Garcia, C. G. (2024). SMEs, violence and crisis: Stylized facts from a survey in Latin America. World Development, 184. https://doi.org/10.1016/j.worlddev.2024.106720

Huang, W., & Ichikohji, T. (2024). How dynamic capabilities enable Chinese SMEs to survive and thrive during COVID-19: Exploring the mediating role of business model innovation. PLoS ONE, 19(5 May), 1–26. https://doi.org/10.1371/journal.pone.0304471

Iershova, N. Y., Portna, O. V., Davydov, D., Krivokapic, R., & Delibasic, M. (2024). Financial Stability of Small and Medium-Sized Businesses in a Crisis Economy: The Determinants of Management. Montenegrin Journal of Economics, 20(2), 155–168. https://doi.org/10.14254/1800-5845/2024.20-2.13

INEI. (2017). Perú: Estructura Empresarial, 2017. INEI, 7(2). https://www.inei.gob.pe/media/MenuRecursivo/publicaciones_digitales/Est/Lib1948/libro.pdf

Jaboob, M., Iqbal, S., & Hameed, S. F. (2025). How do emotional intelligence and psychological well-being affect decision making in Omani SMEs? Mediating role of entrepreneurial intention? Current Psychology (New Brunswick, N.J.)44(10), 8257–8271. https://doi.org/10.1007/s12144-024-07186-9

Kline, R. B. (2016). Principles and practices of structural equation modelling 4th edition. In Methodology in the social sciences.

Klyver, K., & Nielsen, S. L. (2024). Preparedness shapes tomorrow: crisis preparedness and strategies among SMEs amid external crises. Entrepreneurship and Regional Development, 00(00), 1–22. https://doi.org/10.1080/08985626.2024.2352448

Korayim, D., Shaik, A. S., Agarwal, R., Nijjer, S., & Sasso, P. (2025). Entrepreneurial orientation and sustainable business model innovation through technology transfer. A study of SMEs leadership in knowledge-based economies. Journal of Knowledge Management29(3), 789–813. https://doi.org/10.1108/jkm-10-2023-0920

Koura, A., Boudhar, A., & Oudgou, M. (2025). Rebuilding prosperity: the role of public support in driving sustainable growth for Moroccan SMEs in the post-COVID-19 era. Management and Sustainability. https://doi.org/10.1108/MSAR-08-2024-0085

Le, M. P., Chauvet, L., & Marouani, M. A. (2024). The Great Lockdown and the Small Business: Impact, Channels and Adaptation to the Covid Pandemic. World Development, 182(June), 106673. https://doi.org/10.1016/j.worlddev.2024.106673

Liu, X., Guo, P., & Zhao, J. (2024). From adaptation to transformation: how to stimulate leaders’ change-oriented organizational citizenship behaviors in project-based temporary organizations. Journal of Organizational Change Management, 72171195. https://doi.org/10.1108/JOCM-07-2024-0390

Miocevic, D. (2024). Negative emotions and marketing retrenchment during crisis: attribution effects through crisis severity and strategic orientations. Journal of Business and Industrial Marketing, 39(11). https://doi.org/10.1108/JBIM-08-2023-0459

Puthusserry, P., King, T., Miller, K., & Khan, Z. (2022). A Typology of Emerging Market SMEs’ COVID-19 Response Strategies: The Role of TMTs and Organizational Design. British Journal of Management, 33(2), 603–633. https://doi.org/10.1111/1467-8551.12591

Rathee, V., Mittal, P., & Kumar, A. (2025). A contribution towards developing a sustainable model for enhancing entrepreneurial performance: identifying the mediating role of innovative work behaviour. Journal of Entrepreneurship in Emerging Economies. https://doi.org/10.1108/JEEE-04-2024-0166

Raykov, T., & Marcoulides, G. A. (2012). A first course in structural equation modeling: Second edition. In A First Course in Structural Equation Modeling: Second Edition. https://doi.org/10.4324/9780203930687

Rosenbäck, R., & Eriksson, K. M. (2024). COVID-19 healthcare success or failure? Crisis management explained by dynamic capabilities. BMC Health Services Research, 24(1), 1–22. https://doi.org/10.1186/s12913-024-11201-x

Schwarz, D. (2017). Reconvensión Industrial de las Pymes peruanas: Cambio para la competitividad. Nexo Revista Científica, 30(01), 43–47. https://doi.org/10.5377/nexo.v30i01.5171

Shore, A., Tiwari, M., Tandon, P., & Foropon, C. (2024). Building entrepreneurial resilience during crisis using generative AI: An empirical study on SMEs. Technovation, 135(June), 103063. https://doi.org/10.1016/j.technovation.2024.103063

Sudan, T., & Taggar, R. (2024). Assessing trade supply chain vulnerability and trade participation of SMEs in India: insights from a comprehensive analysis. International Journal of Productivity and Performance Management, 250–303. https://doi.org/10.1108/IJPPM-12-2023-0645

Suherman, Widiatmaka, F. P., Kensiwi, F., Suharso, D. D., Sukirno, Pranyoto, Cahya, S. K., Kundori, Listyorini, H., Supriyanto, S., Pranoto, & Sukrisno. (2024). Resilience in tourism-based SMEs driven by initiatives and strategies through share value relational capital viewed from a resource-based theory perspective. Humanities and Social Sciences Communications, 11(1). https://doi.org/10.1057/s41599-024-03607-z

Sutrisno, A. D., Lee, C. H., & Suryawan, I. W. K. (2024). Examining community desire to change for adaptive transition in post-mining ecological sustainability: Community transition in post-mining sustainability. Extractive Industries and Society, 20(August), 101537. https://doi.org/10.1016/j.exis.2024.101537

Toubes, D. R., Araújo-Vila, N., & Fraiz-Brea, J. A. (2021). Organizational learning capacity and sustainability challenges in times of crisis: A study on tourism SMEs in Galicia (Spain). Sustainability (Switzerland), 13(21). https://doi.org/10.3390/su132111764

Uzkurt, C., Ceyhan, S., Ekmekcioglu, E. B., & Akpinar, M. T. (2023). Government support, employee motivation and job performance in the COVID-19 times: evidence from Turkish SMEs during the short work period. International Journal of Emerging Markets. https://doi.org/10.1108/IJOEM-04-2022-0689

Villena, R., Margarita, M., Velasquez, G., Paola, L., Janampa, G., Orlando, R., Ruiz, L., Valencia, W. A., Alvaro, R., Pancca, A., Adolfo, G., Cárdenas, M., Nacional, U., Villarreal, F., Nacional, U., San, M. De, Presentación, R. V., Margarita, M., Velasquez, G., … Janampa, G. (2024). Desafíos y Perspectivas en la Implementación de CRM en PYMES: Un Enfoque a través del Método de Casos en el Contexto Peruano. 1–9.

Villena, R., Reyes, H., Luján, R., Andia, W., & Soplin, J. (2023). Probability of continuous use of the delivery service in a lima community: an application of the markov chains. International Journal of Professional Business Review, 8, 1–14.

Wang, S., & Zhang, H. (2025). Enhancing SMEs sustainable innovation and performance through digital transformation: Insights from strategic technology, organizational dynamics, and environmental adaptation. In Socio-Economic Planning Sciences (Vol. 98). Elsevier Ltd. https://doi.org/10.1016/j.seps.2024.102124

Wang, Z., McNally, R., Lenihan, H., & Li, C. (2025). Social capital as a barrier to innovation: The mediating role of job autonomy. Finance Research Letters, 72. https://doi.org/10.1016/j.frl.2024.106530

Weng, Q., Wang, D., De Lurgio, S., & Schuetz, S. (2024). How do small-to-medium-sized e-commerce businesses stay competitive? Evidence on the critical roles of IT capability, innovation and multihoming. Internet Research. https://doi.org/10.1108/INTR-01-2023-0061

Zhang, L., Sindakis, S., Dhaulta, N., & Asongu, S. (2023). Economic Crisis Management During the COVID-19 Pandemic: The Role of Entrepreneurship for Improving the Nigerian Mono-Economy. Journal of the Knowledge Economy, 828–859. https://doi.org/10.1007/s13132-023-01117-y