Universidad del Zulia (LUZ)
Revista Venezolana de Gerencia (RVG)
Año 30 No. 111, 2025, 1374-1391
Julio-Septiembre
ISSN 1315-9984 / e-ISSN 2477-9423
Como citar: Peretto, C. B. (2025). Desempeño de los bancos de la República Argentina: efectos de la innovación tecnológica entre 2000 y 2024. Revista Venezolana de Gerencia, 30(111), 1374-1391. https://doi.org/10.52080/rvgluz.30.111.8
Desempeño de los bancos de la República Argentina: efectos de la innovación tecnológica entre 2000 y 2024*
Peretto, Claudia Beatriz**
Resumen
La tecnología financiera, combinación de tecnología y finanzas, se ha convertido en la principal forma de innovación financiera en las últimas décadas, brindando servicios financieros más específicos, a diferentes consumidores, de una manera más rápida y eficiente. El objetivo de este trabajo es analizar el impacto de la innovación financiera en el desempeño de los bancos, en términos de eficiencia y productividad. Se utiliza Data Envelopment Analysis para medir la eficiencia del sistema bancario argentino en el período 2000-2024, luego se aplica el Índice de productividad DEA-Malmquist para explorar, a través del tiempo, la eficiencia y la productividad y determinar si el desempeño de las entidades bancarias está relacionado con las innovaciones tecnológicas. Los resultados obtenidos indican que la eficiencia media del sistema osciló alrededor del 80% y que, considerando subperiodos determinados por hitos de cambios en la tecnología financiera, se produjo un aumento de la productividad general del sistema. Se concluye que la mejora en la productividad estuvo determinada por el desplazamiento de la frontera tecnológica, atribuible a las innovaciones tecnológicas que se produjeron en dicho periodo.
Palabras clave: innovaciones financieras; innovación tecnológica; eficiencia; productividad; Malmquist.
Recibido: 20.01.25 Aceptado: 01.04.25
* Agradecimiento a la Escuela de Graduados de la Facultad de Ciencias Económicas de la Universidad Nacional de Córdoba.
** Doctora en Ciencias Económicas, Facultad de Ciencias Económicas – Universidad Nacional de Córdoba - Argentina; Magister en Estadística Aplicada y Contadora Pública Universidad Nacional de Córdoba – Argentina; Profesora adjunta de grado y posgrado e investigadora, Facultad de Ciencias Económicas (U.N.C.); Email: cperetto@unc.edu.ar; ORCID: https://orcid.org/0000-0001-7691-6654.
Performance of banks in Argentina: effects of technological innovation between 2000 and 2024
Abstract
Fintech, as a combination of technology and finance, has emerged as the leading form of financial innovation in recent decades, enabling the delivery of more tailored financial services to diverse consumers in a faster and more efficient manner. This study aims to examine the impact of financial innovation on bank performance in terms of efficiency and productivity. In a first stage, DEA is used to measure the efficiency of the Argentinean banking system during 2000-2024, then a temporal analysis of efficiency and productivity is carried out by applying the DEA-Malmquist Productivity Index to explore whether the performance of banking entities is related to technological innovations. The findings indicate that the average efficiency of the system hovered around 80% and that, considering sub-periods determined by milestones of changes in financial technology, there was an increase in the overall productivity of the system. The study concludes that the improvement in productivity was driven by shifts in the technological frontier, attributable to the technological innovations that occurred during the analyzed period.
Keywords: financial innovations; technological innovation; efficiency; productivity; Malmquist.
1. Introducción
La innovación tecnológica es un tema relevante desde el siglo XXI, debido a su profundo impacto en el crecimiento de las organizaciones y en la vida de las personas. El papel que desempeña la innovación tecnológica en la productividad y el crecimiento organizacional ha cambiado significativamente muchos sectores de la economía, incluido el sector bancario (Su et al., 2020; Wang et al., 2021; Sheng, 2021; Thakor, 2020).Como combinación de tecnología y finanzas, la tecnología financiera (fintech) se refiere a nuevos modelos comerciales, aplicaciones tecnológicas, procesos operativos y productos innovadores que promueven la innovación financiera a través de medios técnicos, y tienen un impacto significativo en los mercados, tanto en las instituciones como en los servicios financieros o bancarios (Financial Stability Board, 2017). A través de la informática, y en comparación con el modelo tradicional de negocios de los bancos, la tecnología financiera permite brindar servicios más específicos a diferentes consumidores de una manera más ágil y eficiente, satisfaciendo así sus necesidades financieras diversificadas. (Campanella et al., 2017; Hasan et al., 2020). Algunos autores, como Cruz-García et al. (2021), Boot et al. (2021), Buchak et al. (2018) o Lee et al. (2021), sostienen que el reciente y acelerado desarrollo fintech es una importante manifestación de la innovación en el sistema y está generando un profundo impacto en el sector bancario.
En Latinoamérica, varios países han experimentado profundas transformaciones como consecuencia de políticas desregulatorias del sector financiero y de una mayor integración en los mercados internacionales.
En la economía argentina, en particular, los bancos han introducido cambios en su modelo de negocio y en su forma de administración, invirtiendo en capacitación y nuevas tecnologías que contribuyeran a mantener su volumen de negocio y, al mismo tiempo, les permitieran ser competitivos y mejorar su desempeño. Surgen así los siguientes interrogantes: ¿Han influido las innovaciones en tecnología financiera desarrolladas durante este período en el desempeño del sector bancario argentino? ¿Es posible que una entidad bancaria mejore su eficiencia y productividad mediante la incorporación de nuevas tecnologías?
En este contexto, este trabajo pretende analizar el impacto de la innovación financiera en el desempeño de los bancos, en términos de eficiencia y productividad, a través de la literatura sobre eficiencia bancaria, analizando los cambios tecnológico-financieros que se produjeron en el sistema bancario argentino durante los años 2000 a 2024 y evaluar sus efectos sobre el desempeño de los bancos, medido a través de la eficiencia y la productividad.
2. Antecedentes de evaluación de eficiencia en bancos
La evaluación del desempeño de los bancos ha sido abordada mediante variados métodos y técnicas, que van desde el análisis tradicional de ratios hasta el uso de metodologías específicas, basadas en enfoques de frontera de eficiencia.
Los métodos se diferencian por la forma en que se estima la frontera, así como por los supuestos que se realizan acerca de la forma funcional, y se pueden resumir en dos grandes grupos: paramétricos y no paramétricos. En los métodos paramétricos, la frontera se construye con las unidades con mejor desempeño; entre ellos, el pionero fue Data Envelopment Analysis (DEA), desarrollado en 1978 por Charnes et al. A partir de este, se propusieron muchos otros modelos para diferentes enfoques, variables y datos (Cook y Seiford, 2009).
Basándose en el trabajo de Malmquist (1953), Caves et al. (1982) propusieron un índice para medir el cambio en la productividad, el cual permite evaluar la variación entre dos momentos en el tiempo al considerar las tecnologías de producción en dos períodos distintos. Posteriormente, Färe et al. (1992) desarrollaron este índice empleando la metodología DEA para valorar las funciones de distancia (índice DEA-Malmquist en adelante).
Todos estos modelos han sido ampliamente utilizados para medir la eficiencia y productividad del sector bancario (Berger y Humphrey, 1997) y siguen vigentes. Gonzalez (2022) repasa la utilidad de realizar benchmarking mediante métodos frontera y discute algunos desarrollos y propuestas metodológicas recientes que se pueden utilizar para evaluar eficiencia y productividad. A nivel internacional, se han llevado a cabo numerosos estudios, la gran mayoría en países desarrollados, con avances en la evaluación de desempeño del sector en diferentes países (Shi et al., 2017; Ouenniche y Carrales, 2018; Kamarudin et al., 2019; Jagtiani et al., 2018; Kamarudin et al., 2019). En América Latina, diversos trabajos han aplicado modelos DEA clásicos, el índice de Malmquist y enfoques metodológicos en dos y tres etapas para analizar la eficiencia del sistema bancario en diferentes países. Entre ellos, se destacan los trabajos de Charles y Kumar (2012) en Perú, así como los de Campoverde Campoverde et al. (2019) y Vera Gilces et al. (2020) en Ecuador.
En Argentina, Ferro et al. (2013) realizaron una investigación del sistema bancario argentino entre 2005 y 2011 y Charles et al. (2016) determinaron la eficiencia de los bancos argentinos en el período 2001-2010, utilizando los métodos DEA clásicos. Seffino y Hoyos (2019) analizaron la eficiencia y productividad durante el período 2004-2016, con DEA, SFA y el índice de Malmquist. Sus hallazgos revelan un notable aumento de la productividad total de los factores, atribuible principalmente al progreso tecnológico registrado a partir de 2010. Peretto et al. (2022) utilizaron una metodología DEA en dos etapas para analizar los determinantes de la eficiencia bancaria argentina en el año 2018.
Con respecto al impacto del desarrollo tecnológico en la industria bancaria, la discusión se centra principalmente en el surgimiento de las nuevas empresas fintech, pero pocos estudios exploran su efecto sobre la eficiencia bancaria. En Argentina, Argañaraz (2014) realizó una evaluación de eficiencia y productividad de las inversiones que se realizaron en tecnologías de información en el período 2008-2012, aplicando DEA y el índice de Malmquist. Sin embargo, debido probablemente a las limitaciones en los datos, son pocos los estudios que examinan empíricamente cómo el desarrollo de la tecnología financiera afecta la eficiencia bancaria.
3. Sistema bancario argentino y tecnología financiera
Para abordar el impacto de los cambios en tecnología en el sector bancario argentino, es crucial considerar algunos antecedentes clave que lo caracterizan. A partir de 2002, luego de la crisis financiera del 2001 y el fin del régimen de convertibilidad, muchas innovaciones financieras y tecnológicas han tenido efecto en los mercados financieros (Cibils y Allami, 2010). A principios de 2003, el sector financiero argentino inició un proceso de recuperación, acompañado por un incremento en los depósitos totales. Aunque los cierres bancarios fueron pocos en relación con la gravedad de la crisis (Magliano et al., 2005). Hacia el 2011, la cantidad de entidades en el sistema era menor, aunque de mayor tamaño si se considera el número de sucursales y empleados, el volumen de patrimonio y de activos. En materia de tecnología utilizada, se puede observar un notable crecimiento, como por ejemplo en la instalación de cajeros automáticos.
A partir de 2015, el sistema bancario mantuvo altos niveles de capital y liquidez. Sin embargo, su capacidad para captar y canalizar el ahorro hacia la financiación fue limitada. Posteriormente, se eliminaron las regulaciones a las tasas de interés y las comisiones, y se eliminaron las líneas de crédito productivo (Allami y Cibils, 2021). En los últimos años del período analizado, las dificultades con la inflación agravaron la situación general de la economía y del sector bancario en particular.
El sistema financiero está estructurado de acuerdo a la Ley N.º 21.526, Ley de Entidades Financieras, que regula distintos tipos de entidades, bancarias y no bancarias, siendo el Banco Central de la República Argentina (BCRA) la autoridad de aplicación.
El sistema bancario argentino llegó a tener un total de 72 bancos en el año 2002, de los cuales 45 mantuvieron actividad de forma ininterrumpida durante todo el período analizado (62,5%). Tal como se muestra en el gráfico 1, pese a las diversas fluctuaciones, el tamaño del sistema en términos generales sufrió una notable contracción.
Gráfico 1
Entidades bancarias en actividad en el periodo 2000-2024
Fuente: Banco Central de la República Argentina
En relación a la tecnología, en las últimas décadas, ésta ha generado transformaciones significativas en la forma de operar del sector bancario. Hace cincuenta años, las operaciones bancarias se realizaban exclusivamente en oficinas físicas, utilizando documentos en papel y con la asistencia del personal, según el tipo de trámite requerido. En forma gradual, los bancos comenzaron a implementar dispositivos que permitían a los clientes consultar los saldos de sus cuentas y acceder a algunos servicios básicos. Para principios de los 2000, ya se habían instalado cajeros automáticos que dispensaban dinero.
Posteriormente, la posibilidad de acceder a las computadoras personales y el mayor acceso a internet de banda ancha permitió a los bancos trasladar sus servicios directamente a los hogares de los clientes, inicialmente a empresas y posteriormente a individuos. Este cambio buscaba que el cliente se convirtiera en el operador de sus propios productos, en una banda horaria más amplia, pero reduciendo, al mismo tiempo, los costos operativos internos relacionados con personal, infraestructura y recursos.
Hacia 2010, la llegada de los teléfonos inteligentes, junto con el avance en la velocidad y calidad de las comunicaciones, marcó un nuevo hito. Los bancos comenzaron a trasladar no solo las operaciones, sino también sus estrategias comerciales a plataformas electrónicas, incluyendo publicidad, venta y suscripción de productos. Además, el celular se convirtió en una herramienta clave para la autenticación, evolucionando hacia el uso de tokens y, posteriormente, a la implementación de billeteras electrónicas.
Durante los años 2020 y 2021, los procesos bancarios se vieron interrumpidos primero por la situación de aislamiento y luego de distanciamiento social, preventivo y obligatorio debido a la pandemia de Covid-19, lo que aceleró la inclusión de tecnologías digitales en los procesos de las entidades financieras, tanto para el acceso como para el uso de los servicios.
La tecnología también fue permitiendo la creación de nuevos productos financieros que antes eran inimaginables. Más aún, la inteligencia artificial y el aprendizaje automático están transformando el sector al facilitar la detección de fraudes y la prevención de actividades delictivas (Yao et al., 2021). Los cambios en los perfiles de los clientes y la irrupción de nuevos modelos disruptivos han redefinido el funcionamiento del sistema bancario. Estos avances han tenido un impacto significativo en las condiciones competitivas de los bancos, afectando su poder de mercado, rentabilidad, eficiencia y la estabilidad del sistema financiero, lo que indica la necesidad de un análisis más detallado.
4. Consideraciones metodológicas de la investigación
A los fines de este estudio, se considerará un sistema de referencia con información de n unidades que utilizan un conjunto de inputs para obtener un mismo conjunto de outputs. Como medida de desempeño se puede distinguir entre productividad y eficiencia, que a menudo se utilizan indistintamente pero no son equivalentes.
En el proceso de evaluar la eficiencia técnica de los bancos de la República Argentina se calcularán, en primer lugar, los índices de eficiencia de cada entidad para cada uno de los años entre el 2000 y el 2024, aplicando un modelo DEA con rendimientos variables de escala, producto orientado. Luego, se calculará el Índice de productividad DEA-Malmquist, a fin de determinar si las variaciones en la productividad responden a un cambio en la eficiencia o se deben a un desplazamiento de la frontera de producción. Para este segundo análisis, se divide el período 2000-2024 en subperiodos determinados por hitos de innovaciones tecnológicas, que permitirá medir el efecto del cambio tecnológico en distintos momentos del tiempo.
4.1. Data Envelopment Analysis
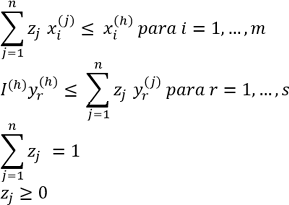
Data Envelopment Analysis (DEA) es una metodología específicamente desarrollada para medir la eficiencia técnica relativa de un conjunto de unidades homogéneas, comparándolas con el conjunto de todas las unidades bajo análisis. Charnes et al. (1978) proponen este enfoque basado en programación matemática como un método nuevo, cuyo objetivo es definir una frontera de producción empírica compuesta por las unidades de decisión (DMUs, por sus siglas en inglés) observadas que tengan mejor desempeño. Luego, se cuantifica el grado de eficiencia de cada observación en la muestra, midiendo su distancia respecto a dicha frontera. Para medir la eficiencia técnica de una unidad, DEA requiere la definición de un conjunto de posibilidades de producción tecnológicamente factibles y permite considerar unidades que utilizan múltiples inputs y outputs.
Una DMU se considera eficiente, según el criterio de Pareto-Koopmans, si no es posible disminuir uno o varios inputs sin reducir algún output, o si no es posible incrementar uno o varios outputs sin aumentar algún input. Los modelos DEA pueden clasificarse según su orientación hacia productos (outputs) o insumos (inputs), así como por el tipo de rendimientos a escala que caracterizan la tecnología de producción disponible.
Posteriormente, Banker et al. (1984) plantean un modelo que admite rendimientos variables de escala en las unidades analizadas, y que se formula de la siguiente forma:
Sujeto a:
(Ecuación 1)
Este modelo (1) permite calcular la ineficiencia técnica de una unidad evaluada (h). Donde: m indica la cantidad de inputs, s indica la cantidad de outputs, xi(h) representa el i-ésimo input y xi(j) es el i-ésimo input de la j-ésima unidad, yr(h) representa el r-ésimo output y yr(j) es el r-ésimo output de la j-ésima unidad. La variable zj representa el peso de la j-ésima DMU observada (j= 1…n). Estos pesos sirven para definir una DMU “potencial” con la que se pueda comparar la unidad bajo análisis.
En el análisis de la eficiencia bancaria, la mayoría de los estudios recomienda emplear un modelo orientado a los outputs, debido a la limitada flexibilidad de los inputs comúnmente utilizados para medir la eficiencia en este sector, como la cantidad de empleados, la superficie operativa, el volumen de depósitos y de activos, los gastos operativos, entre otros.
4.2. Índice DEA - Malmquist
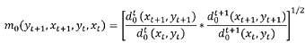
El índice DEA-Malmquist permite analizar los cambios en la productividad entre dos períodos de tiempo. Supongamos la existencia de una función de producción en el período t y otra en el período t+1, para una DMU específica, el cálculo del índice DEA-Malmquist requiere dos medidas de distancia, obtenidas a partir de las observaciones de cada período, las que pueden calcularse utilizando como referencia la frontera de producción de cualquiera de los dos períodos. Como la elección de la frontera de referencia es arbitraria y los resultados pueden diferir, es habitual determinar el Índice DEA-Malmquist como la media geométrica de ambos índices, proporcionando así una estimación equilibrada del cambio en la productividad.
Por consiguiente, Färe et al. (1992) proponen el índice DEA-Malmquist orientado a los outputs entre los periodos t+1 y t, que se plantea:
(Ecuación 2)
Si m0 > 1, se interpreta que la DMU0 es más productiva en comparación con el período inicial. Este aumento en la productividad relativa de la DMU0 puede atribuirse a diversas causas: por un lado, podría deberse a una mejora en su eficiencia relativa; por otro, a un avance en la tecnología disponible.
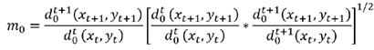
La descomposición del índice DEA-Malmquist propuesta por Färe et al. (1992) permite separar en dos términos las fuentes de variación de la productividad:
(Ecuación 3)
Donde:
permite medir el cambio de la eficiencia técnica de la DMU0 entre el período t y el período t+1, las variaciones atribuibles a mejoras en el rendimiento relativo de la unidad y,
(Ecuación 4)
Permite medir el cambio de la frontera tecnológica de la DMU0 entre el período t y el período t+1, las variaciones debidas al desplazamiento de la frontera eficiente.
El índice de productividad de Malmquist se puede calcular de distintas formas, de acuerdo al método que se emplee para valorar la función de distancia. Para obtener la ecuación (2), es necesario calcular las cuatro funciones de distancia que la componen. Si se aplica la metodología DEA, esto implica resolver cuatro problemas de programación lineal, similares a los utilizados para medir la eficiencia técnica.
4.3. Innovaciones tecnológicas en el período analizado
A fin de alcanzar los objetivos de la investigación y analizar empíricamente el impacto de las innovaciones en tecnología financiera en la eficiencia bancaria, se considera fundamental tener en cuenta los significativos cambios en el modelo de negocios, el desarrollo digital y las innovaciones tecnológicas que han transformado a las instituciones bancarias, y dividir el período 2000-2024 en los siguientes subperíodos:
5. Aplicación al sistema bancario argentino
La evaluación de eficiencia se llevará a cabo sobre las entidades financieras bancarias de la República Argentina, consideradas homogéneas, ya que utilizan los mismos tipos de recursos para ofrecer servicios y productos similares, desempeñando un rol de intermediación entre depositantes y tomadores de fondos. Los datos y variables a utilizar provienen de las publicaciones realizadas por el BCRA.
Las variables serán clasificadas en inputs y outputs siguiendo el enfoque de intermediación (Berger y Humphrey, 1997), el cual considera el rol tradicional de las entidades financieras como facilitadoras de la transferencia de activos financieros desde unidades que tienen superávit hacia aquellas unidades deficitarias. Se considerarán las siguientes variables determinadas tanto por la literatura existente (Charles y Kumar, 2012 y Charles et al., 2016) como por la disponibilidad de datos:
6. Evaluación de desempeño de los bancos: Resultados
En primer lugar, se calculan los índices de eficiencia para cada año para analizar el desempeño de las DMUs en el período 2000 – 2024, aplicando el modelo DEA VRS. La Tabla 1 presenta un resumen estadístico del sistema en su conjunto para cada año analizado, incluyendo la eficiencia promedio, la desviación estándar y el coeficiente de variación.
Eficiencia técnica del sistema bancario argentino durante el periodo 2000-2024
|
Sistema bancario |
2000 |
2001 |
2002 |
2003 |
2004 |
2005 |
2006 |
2007 |
2008 |
2009 |
2010 |
2011 |
|
media |
0,90 |
0,86 |
0,82 |
0,84 |
0,87 |
0,85 |
0,83 |
0,85 |
0,81 |
0,79 |
0,86 |
0,89 |
|
desviación |
0,14 |
0,19 |
0,22 |
0,22 |
0,20 |
0,19 |
0,21 |
0,20 |
0,20 |
0,21 |
0,16 |
0,14 |
|
CV |
15,8% |
22,6% |
27,0% |
26,2% |
23,3% |
22,6% |
25,4% |
23,7% |
24,2% |
26,8% |
18,3% |
15,8% |
|
Sistema bancario |
2012 |
2013 |
2014 |
2015 |
2016 |
2017 |
2018 |
2019 |
2020 |
2021 |
2022 |
2023 |
2024 |
|
media |
0,81 |
0,80 |
0,74 |
0,81 |
0,84 |
0,82 |
0,77 |
0,76 |
0,77 |
0,77 |
0,80 |
0,74 |
0,73 |
|
desviación |
0,21 |
0,21 |
0,25 |
0,21 |
0,20 |
0,21 |
0,27 |
0,23 |
0,25 |
0,23 |
0,22 |
0,23 |
0,26 |
|
CV |
25,2% |
27,0% |
34,2% |
25,9% |
23,3% |
25,8% |
34,4% |
30,8% |
32,4% |
29,4% |
27,2% |
30,9% |
35,9% |
Considerando el sistema en su conjunto para el período completo, la eficiencia promedio entre 2000 y 2024 fue del 0,8137 con un coeficiente de variación del 26%, lo que indica que la eficiencia media es representativa y los datos se pueden considerar homogéneos. La eficiencia media del periodo fue estable alrededor del 80%, ´con una tendencia a la baja en los últimos dos años. Se observan picos de crecimiento en los años 2004, 2011 y 2016 que coinciden con los hitos de innovación tecnológica en el sector, señalados con líneas verticales en el Gráfico 2.
Gráfico 2
Eficiencia media del sistema bancario argentino en el período 2000-2024
Al analizar la tendencia de los índices de eficiencia VRS (Gráfico 2), se pueden observar tres caídas significativas en las medidas de eficiencia media durante el período 2000-2024, que corresponden a la crisis económica y financiera de 2001-2002, a la crisis financiera internacional de 2008 y a la fuerte crisis política y económica interna que acompañó el proceso electoral en el país en 2014. Esto también se puede apreciar en los niveles del coeficiente de variación (CV), que registran valores más altos en los años específicos: 27% en 2002 y 26,8% en 2009 y 34,2% en 2014, lo que indica mayor heterogeneidad en las eficiencias técnicas de los bancos en esos años en comparación con los otros años analizados.
Estos resultados motivan la segunda etapa del estudio, donde se calcula el Índice DEA-Malmquist (M), el cambio en la eficiencia técnica (CEF) y el cambio en la frontera tecnológica (CT) para cada uno de los subperíodos definidos entre 2000 y 2024.
Un cambio o mejora en la frontera tecnológica del sistema bancario puede interpretarse como el resultado de diversas innovaciones, tales como la implementación de servicios bancarios por internet, la adquisición y modernización de tecnologías (como cajeros automáticos y equipos tecnológicos), la mejora en los procesos de intermediación, el desarrollo continuo de medidas de seguridad, la capacitación del personal, entre otros. Todos estos cambios se produjeron a lo largo del periodo bajo estudio.
Se consideran las unidades con actividad en el primer y último año de cada subperíodo y las variables inputs y outputs propuestas en la primera parte de este estudio. Dado que, en Argentina, desde la salida de la convertibilidad del peso en 2001, se inició un proceso inflacionario que fue creciendo en los últimos años analizados, los datos que corresponden a cada uno de los años fueron ajustados a moneda de un mismo período para evitar una distorsión en los resultados producto de la inflación (Cavallo, 2013).
Si el índice DEA-Malmquist asume un valor superior a 1, esto implica que se produjo un aumento de la productividad en los años analizados, mientras que si el índice resulta inferior a 1 implica un retroceso o deterioro en la misma. En la Tabla 2, se puede ver la media geométrica del sistema bancario argentino de cada subperíodo, y a partir de ella, la mejora o desmejora en la productividad del sistema y en los resultados de cada uno de sus componentes.
Tabla 2
Índice DEA–Malmquist período 2000-2024
|
Período |
2000 - 2004 |
2004 - 2011 |
2011 - 2018 |
2018 - 2024 |
||||||||
|
|
M |
CEF |
CT |
M |
CEF |
CT |
M |
CEF |
CT |
M |
CEF |
CT |
|
Media |
1,051 |
0,973 |
1,079 |
1,130 |
1,019 |
1,109 |
1,018 |
0,843 |
1,207 |
0,985 |
0,939 |
1,049 |
|
Mejora / deterioro (%) |
5,05 |
-2,66 |
7,92 |
12,98 |
1,92 |
10,86 |
1,77 |
-15,70 |
20,73 |
-1,47 |
-6,12 |
4,93 |
En los tres primeros subperíodos considerados se observan incrementos importantes en la productividad, especialmente entre 2004-2011. Si bien, entre 2000 y 2004 y más aún entre 2011 y 2018, el cambio en la eficiencia es negativo, el índice DEA-Malmquist indica un aumento en la productividad del sistema producto del notable aumento en la frontera tecnológica. Estos resultados coinciden con los obtenidos por Seffino y Hoyos (2019) para el periodo 2004-2016. En el Gráfico 3 se pueden observar las fluctuaciones de estos indicadores en cada subperíodo entre 2000 y 2024, y particularmente los incrementos en la productividad del sistema antes mencionados.
Gráfico 3
Mejora/deterioro porcentual de los componentes del índice DEA-Malmquist en cada subperíodo entre 2000-2024
En el período 2018-2024, la variación en la productividad presenta una leve desmejora, pese a que el cambio tecnológico muestra un incremento de 4,93%, lo que puede ser atribuido al importante deterioro en el cambio en la eficiencia. Cabe recordar que este período estuvo marcado por la pandemia de covid-19, por lo que, durante los años 2020 y 2021, los procesos bancarios se vieron interrumpidos por la situación de aislamiento, lo que contrajo fuertemente la actividad bancaria y obligó a las entidades a acelerar la inclusión de tecnologías digitales y transformar los procesos de acceso y uso de servicios financieros.
Considerando el período completo y a fin de analizar específicamente el cambio en la productividad explicado por un cambio en la frontera tecnológica, se calcula el índice DEA-Malmquist del sistema entre el año de inicio y el de finalización del período completo, es decir, del año 2024 con respecto al año 2000, considerando los bancos que estuvieron en actividad durante todo el período. Los resultados se presentan en la Tabla 3.
Tabla 3
Índice DEA – Malmquist período 2000-2024
|
Período |
2000 - 2024 |
||
|
|
M |
CEF |
CT |
|
Media |
1,3096 |
0,8760 |
1,4950 |
|
Mejora / deterioro (%) |
30,96 |
-12,40 |
49,50 |
Se observa que el sistema tuvo un incremento en el índice DEA-Malmquist, un deterioro en la eficiencia del 12,4%, pero una mejora en la frontera tecnológica del 49,5%, por lo que se puede afirmar que la mejora en la productividad del sistema estuvo determinada por el desplazamiento de la frontera tecnológica, atribuible a las innovaciones tecnológicas que se produjeron en dicho periodo.
Por otra parte, las entidades bancarias, según el origen del capital, se pueden clasificar en entidades bancarias privadas, de capital nacional o extranjero, y públicas. La participación de cada grupo en el sistema bancario ha tenido variaciones en cada uno de los subperiodos considerados; sin embargo, se observa que las entidades bancarias de capital privado nacional representan, en promedio, un 53%, las de capital privado extranjero un 25% y las de capital público un 22% (Tabla 4). Es por ello que se propone el análisis de los resultados por grupo a fin de identificar el efecto potencial del origen de capital en el desempeño de los bancos.
En la Tabla 4 se presentan, para cada subperiodo, la media del índice DEA-Malmquist y de cada uno de sus componentes, agrupando las entidades según el origen de su capital.
Tabla 4
Índice DEA-Malmquist según el origen de capital de los bancos
|
|
2000 - 2004 |
|||
|
Bancos según origen de capital |
% en el sistema |
M |
CEF |
CT |
|
Privados nacionales |
49,06% |
0,9692 |
0,9532 |
1,0167 |
|
Públicos |
24,53% |
1,3488 |
1,1338 |
1,1896 |
|
Extranjeros |
26,42% |
0,9675 |
0,8784 |
1,1014 |
|
2004 - 2011 |
||||
|
|
% en el sistema |
M |
CEF |
CT |
|
Privados nacionales |
51,67% |
1,1673 |
1,0555 |
1,1060 |
|
Públicos |
20,00% |
1,1212 |
0,9553 |
1,1737 |
|
Extranjeros |
28,33% |
1,0703 |
1,0010 |
1,0693 |
|
2011 - 2018 |
||||
|
|
% en el sistema |
M |
CEF |
CT |
|
Privados nacionales |
52,73% |
1,0055 |
0,7697 |
1,3064 |
|
Públicos |
21,82% |
0,9725 |
0,7989 |
1,2172 |
|
Extranjeros |
25,45% |
1,0852 |
1,0657 |
1,0183 |
|
2018 - 2024 |
||||
|
|
% en el sistema |
M |
CEF |
CT |
|
Privados nacionales |
58,62% |
0,8952 |
0,8489 |
1,0545 |
|
Públicos |
20,69% |
1,4200 |
1,1471 |
1,2380 |
|
Extranjeros |
20,69% |
0,8891 |
1,0302 |
0,8630 |
En relación con cada subperiodo, se pueden destacar los siguientes aspectos:
2000 – 2004: Los bancos de capital público presentan un incremento en la productividad del 34,88%, determinado por un aumento en la eficiencia del 13,38% y por un incremento en la frontera tecnológica del 18,96%. Si bien los bancos de capital extranjero también tienen una mejora tecnológica del 10,14% en este período, se observa un deterioro en la eficiencia del 12,16%.
2004 – 2011: Los bancos de capital privado nacional lideran el aumento en la productividad (16,73%), pese a que los bancos públicos muestran el mayor crecimiento en la frontera tecnológica (17,37%). Con respecto al cambio en la eficiencia, se mantuvo casi constante, con mínimas variaciones en cada uno de los grupos.
2011 – 2018: Los bancos de capital privado nacional muestran un importante desplazamiento positivo en la frontera tecnológica en este periodo (30,64%), seguidos de los bancos públicos (21,72%); sin embargo, se debe señalar también el notorio deterioro en la eficiencia del primer grupo. Si bien el cambio en la productividad se mantuvo casi constante, con mínimas variaciones en cada uno de los grupos, los bancos extranjeros son los que evidencian un crecimiento del 8,5% en estos años.
2018 – 2024: Los bancos de capital público son el único grupo que presenta un incremento en la productividad del 42%, determinado por un aumento en la eficiencia del 14,71% y un cambio en la frontera tecnológica del 23,8%. En estos años, los bancos de capital extranjero han sufrido un fuerte deterioro en su frontera tecnológica.
7. Conclusiones
Entre los años 2000 y 2024, se produjo una verdadera revolución tecnológica que desafió a la industria bancaria, obligándola a realizar muchos cambios, modificando sustancialmente el modelo de negocio y la forma de operar de los bancos.
Desde el punto de vista metodológico, la aplicación de la técnica DEA para medir la eficiencia, en una primera etapa, y el índice de productividad DEA-Malmquist para realizar un análisis a través del tiempo de la eficiencia y la productividad entre los años 2000-2024, permitió explorar la relación entre el desempeño de las entidades bancarias, los cambios en la productividad y las innovaciones tecnológicas.
La eficiencia media del sistema fue estable en todo el periodo de estudio, con picos de crecimiento en los años 2004, 2011 y 2016 que coinciden con los hitos de innovación tecnológica en el sector antes mencionados. Con respecto a la aplicación del índice DEA-Malmquist y sus componentes de cambio en la eficiencia técnica y cambio en la frontera tecnológica, los incrementos en la productividad en los primeros subperíodos considerados se pueden atribuir al notable aumento en el cambio tecnológico.
Considerando el período completo, se puede afirmar que la mejora en la productividad del sistema estuvo determinada por el desplazamiento de la frontera tecnológica, atribuible a las innovaciones tecnológicas que se produjeron en dicho periodo. Finalmente, del análisis de los resultados agrupando las entidades según el origen de su capital, se destaca la mejora tecnológica de los bancos públicos, en todos los períodos, y de los bancos privados nacionales entre 2011 y 2018.
Esta investigación contribuye a la literatura sobre eficiencia bancaria con datos de Argentina y aporta evidencia empírica que respalda la afirmación de que las innovaciones en tecnología financiera implementadas entre 2000 y 2024 mejoraron el desempeño del sistema en general, medido a través de la variación en su eficiencia y en su productividad.
Referencias
Allami, C., y Cibils, A. (2021). La evolución del sector bancario durante el gobierno de Cambiemos. Realidad Económica, 51(338), 37-a. https://ojs.iade.org.ar/index.php/re/article/view/142
Argañaraz, Á. A. (2014). Impacto de las inversiones en tecnología de la información en la eficiencia de los bancos: El caso de la argentina [Tesis doctoral. Repositorio Digital UNS]. https://repositoriodigital.uns.edu.ar/
Banker, R. D., Charnes, A., & Cooper, W. W. (1984). Some models for estimating technical and scale inefficiencies in data envelopment analysis. Management Science, 30(9), 1078–1092. https://doi.org/10.1287/mnsc.30.9.1078
Berger, A. N., & Humphrey, D. B. (1997). Efficiency of financial institutions: International survey and directions for future research. European Journal of Operational Research, 98(2), 175–212. https://doi.org/10.1016/s0377-2217(96)00342-6
Boot, A., Hoffmann, P., Laeven, L., & Ratnovski, L. (2021). Fintech: what’s old, what’s new?. Journal of Financial Stability, 53, 100836. https://doi.org/10.1016/j.jfs.2020.100836
Buchak, G., Matvos, G., Piskorski, T., & Seru, A. (2018). Fintech, regulatory arbitrage, and the rise of shadow banks. Journal of Financial Economics, 130(3), 453-483. https://doi.org/10.1016/j.jfineco.2018.03.011
Campanella, F., Della, M. R., & Del Giudice, M. (2017). The effects of technological innovation on the banking sector. Journal of the Knowledge Economy, 8(1), 356-368. https://doi.org/10.1007/s13132-015-0326-8
Campoverde, J. A., Romero, C. A., y Borenstein, D. (2019). Evaluación de eficiencia de cooperativas de ahorro y crédito en Ecuador: Aplicación del modelo Análisis Envolvente de Datos DEA. Contaduría y Administración, 64(1), 87-104. https://doi.org/10.22201/fca.24488410e.2018.1449
Cavallo, A. (2013). Online and official price indexes: Measuring Argentina’s inflation. Journal of Monetary Economics, 60(2), 152-165. https://doi.org/10.1016/j.jmoneco.2012.10.002
Caves, D. W., Christensen, L. R., & Diewert, W. E. (1982). The economic theory of index numbers and the measurement of input, output, and productivity. Econometrica, 50(6), 1393–1414. https://doi.org/10.2307/1913388
Charles, V., & Kumar, M. (2012). Ranking of Peruvian banks through super efficiency DEA model variables-return-to-scale. In Data envelopment analysis and its applications to management (pp. 116-135).
Charles, V., Peretto, C., & Gherman, T. (2016). Technical Efficiency Analytics for the Public Banks in Argentina. ICPE Public Enterprise Half-Yearly Journal, 22(1), 118-139. https://doi.org/10.21571/pehyj.2016.2201.07
Charnes, A., Cooper, W. W., & Rhodes, E. (1978). Measuring the efficiency of decision making units. European Journal of Operational Research, 2(6), 429–444. https://doi.org/10.1016/0377-2217(78)90138-8
Cibils, A., & Allami, C. (2010). El sistema financiero argentino desde la reforma de 1977 hasta la actualidad: rupturas y continuidades. Realidad Económica, 249, 107-133. http://xxijhe.fahce.unlp.edu.ar/programa/descargables/cibils_y_allami.pdf
Cook, W. D., & Seiford, L. M. (2009). Data envelopment analysis (DEA)–Thirty years on. European Journal of Operational Research, 192(1), 1-17. https://doi.org/10.1016/j.ejor.2008.01.032
Cruz-García, P., de Guevara, J. F., & Maudos, J. (2021). Bank competition and multimarket contact intensity. Journal of International Money and Finance, 113, 102338. https://doi.org/10.1016/j.jimonfin.2020.102338
Färe, R., Grosskopf, S., Lindgren, B., & Roos, P. (1992). Productivity changes in Swedish Pharmacies 1980-1989: A nonparametric Malmquist approach. Journal of Productivity Analysis, 3(3), 85–101. https://doi.org/10.1007/978-94-017-1923-0_6
Färe, R., Grosskopf, S., Norris, M., & Zhang, Z. (1994). Productivity growth, technical progress, and efficiency change in industrialized countries. The American Economic Review, 84(1), 66-83. https://www.jstor.org/stable/2117971
Ferro, G., León, S., Romero, C., y Wilson, D. (2013). Eficiencia del Sistema Bancario Argentino (2005-2011). Anales de la Asociación Argentina de Economía Política, XLVIII Reunión Anual.
Financial Stability Board. (2017). FinTechcredit: Market structure, business models and financial stability implications. https://www.fsb.org/wp-content/uploads/CGFS-FSB-Report-on-FinTech-credit.pdf
González, D. S. (2022). Desarrollos recientes en eficiencia y productividad para su aplicación en el sector público. Papeles de Economía Española, (172), 43-172. https://www.funcas.es/articulos/desarrollos-recientes-en-eficiencia-y-productividad-para-su-aplicacion-en-el-sector-publico/
Hasan, R., Hassan, M. K., & Aliyu, S. (2020). Fintech and Islamic finance: literature review and research agenda. International Journal of Islamic Economics and Finance (IJIEF), 3(1), 75-94. https://doi.org/10.18196/ijief.2122
Kamarudin, F., Sufian, F., Nassir, A. M., Anwar, N. A. M., & Hussain, H. I. (2019). Bank efficiency in Malaysia a DEA approach. Journal of Central Banking Theory and Practice. https://doi.org/10.2478/jcbtp-2019-0007
Jagtiani, J., & Lemieux, C. (2018). Do fintech lenders penetrate areas that are underserved by traditional banks? Journal of Economics and Business, 100, 43-54. https://doi.org/10.1016/j.jeconbus.2018.03.001
Kamarudin, F., Sufian, F., Nassir, A. M., Anwar, N. A. M., & Hussain, H. I. (2019). Bank efficiency in Malaysia a DEA approach. Journal of Central Banking Theory and Practice. https://doi.org/10.2478/jcbtp-2019-0007
Lee, C. C., Lee, C. C., & Xiao, S. (2021). Policy-related risk and corporate financing behavior: Evidence from China’s listed companies. Economic Modelling, 94, 539-547. https://doi.org/10.1016/j.econmod.2020.01.022
Lee, C., Li, X., Yu, C., & Zhao, J. (2021). Does fintech innovation improve bank efficiency? Evidence from China’s banking industry. International Review of Economics & Finance, 74, 468-483. https://doi.org/10.1016/j.iref.2021.03.009
Lovell, C. A. K. (2003). The decomposition of Malmquist productivity indexes. Journal of Productivity Analysis, 20, 437–458. https://doi.org/10.1023/a:1027312102834
Magliano, A. C., Arrigoni, M. Á., Heller, C., Elespe, D., Goity, G., Perrotta, D., et al. (2005). La recuperación del Sistema Financiero Argentino. A. Liska, Editorial.
Malmquist, S. (1953). Index numbers and indifference surfaces. Trabajos en Estadística, 4, 209–242. https://doi.org/10.1007/bf03006863
Ouenniche, J., & Carrales, S. (2018). Assessing efficiency profiles of UK commercial banks: a DEA analysis with regression-based feedback. Annals of Operations Research, 266(1-2), 551–587. https://doi.org/10.1007/s10479-018-2797-z
Peretto, C. B., Quiroga, F., y Alberto, C. L. (2022). Análisis de los factores que determinan la eficiencia de los bancos en Argentina. Un análisis DEA en dos etapas. Contaduría y Administración, 67(1), 375-396. https://doi.org/10.22201/fca.24488410e.2022.2646
Seffino, M., y Hoyos, D. (2021). Eficiencia en entidades bancarios. El caso argentino 2004 – 2016. Económica, 67, 021. https://doi.org/10.24215/18521649e021
Sheng, T. (2021). The effect of fintech on banks’ credit provision to SMEs: Evidence from China. Finance Research Letters, 39, 101558. https://doi.org/10.1016/j.frl.2020.101558
Shi, X., Li, Y., Emrouznejad, A., Xie, J., & Liang, L. (2017). Erratum to: Estimation of potential gains from bank mergers: A novel two-stage cost efficiency DEA model. Journal of the Operational Research Society, 68(8), 983. https://doi.org/10.1057/s41274-017-0235-2
Staub, R. B., da Silva e Souza, G., & Tabak, B. M. (2010). Evolution of bank efficiency in Brazil: A DEA approach. European Journal of Operational Research, 202(1), 204–213. https://doi.org/10.1016/j.ejor.2009.04.025
Su, C. W., Qin, M., Tao, R., & Umar, M. (2020). Financial implications of fourth industrial revolution. Technological Forecasting and Social Change, 158, 120178. https://doi.org/10.1016/j.techfore.2020.120178
Thakor, A. V. (2020). Fintech and banking: What do we know?. Journal of Financial Intermediation, 41, 100833. https://doi.org/10.1016/j.jfi.2019.100833.
Vera, P., Camino, S., (75), 147-166. .
Wang, C., Qiao, C., Ahmed, R. I., y Kirikkaleli, D. (2021). Institutional quality, bank finance and technological innovation: a way forward for fourth industrial revolution in BRICS economies. Technological Forecasting and Social Change, 163, 120427. https://doi.org/10.1016/j.techfore.2020.120427.
Yao, T., y Song, L. (2021). Examining the differences in the impact of Fintech on the economic capital of commercial banks’ market risk: evidence from a panel system GMM analysis. Applied Economics, 53(23), 2647-2660. https://doi.org/10.1080/00036846.2020.1864275.