Universidad del Zulia (LUZ)
Revista Venezolana de Gerencia (RVG)
Año 28 No. 104, 2023, 1717-1734
octubre-diciembre
ISSN 1315-9984 / e-ISSN 2477-9423
Cómo citar: Morales-Morales, J., Valdez Acosta, N., Morales-Morales, J. R., y Yee Rendón, A. (2023). Calidad en el servicio hotelero: Propuesta de metodología experimental. Revista Venezolana de Gerencia, 28(104), 1717-1734. https://doi.org/10.52080/rvgluz.28.104.21
Calidad en el servicio hotelero: Propuesta de metodología experimental
Morales-Morales, Jaime*
Valdez Acosta, Nadia**
Morales-Morales, Jesús René***
YeeRendón, Arturo****
Resumen
La calidad en el servicio es una variable que tiene consigo un propósito subyacente que es la satisfacción del cliente, los indicadores de calidad en el servicio del sector hotelero han sido analizados en investigaciones múltiples. El artículo tiene como objetivo identificar los indicadores más significativos de la calidad en el servicio, se presenta una metodología experimental cuantitativa disruptiva que utiliza el aprendizaje de máquina, particularmente K-medias como técnica de aprendizaje no supervisado para agrupar el conjunto de datos que describe la calidad en el servicio. Los resultados del análisis estadístico demuestran que los indicadores más importantes fueron Asertividad y Aclaraciones del capital humano. El uso de nuevas metodologías contribuye a modelar aquellos indicadores de la calidad en el servicio hotelero y se promueve información multidisciplinar que pueden llegar a tener otros escenarios de información para tomar decisiones gerenciales en el sector hotelero.
Palabras clave: calidad en el servicio; indicadores de calidad; propuesta experimental; aprendizaje de máquina.
Recibido: 22.05.23 Aceptado: 21.07.23
* Maestro en Administración Estratégica y candidato a doctor por la Universidad Autónoma de Sinaloa, docente en Facultad de Contaduría y Administración. Universidad Autónoma de Sinaloa (UAS). (Sinaloa, México). Email: jmorales@uas.edu.mx. ORCID: https://orcid.org/0000-0001-7723-4137
** Doctora por la Universidad Autónoma de Sinaloa (UAS) profesora e investigadora tiempo completo de la Facultad de Contaduría y Administración, Universidad Autónoma de Sinaloa (UAS). (Sinaloa, México). Email: nadia_valdez@uas.edu.mx. ORCID: https://orcid.org/0000-0003-2008-5331
*** Maestro en Ciencias por el Instituto de Administración Pública de Sinaloa, docente del Sistema de Universidad Abierta y a Distancia (SUAD) de la Facultad de Contaduría y Administración, Universidad Autónoma de Sinaloa (UAS). (Sinaloa, México). Email: renemorales@uas.edu.mx. ORCID: https://orcid.org/0000-0001-6896-7654
**** Doctor por el Centro de Investigación y de Estudios Avanzados del Instituto Politécnico Nacional (CINVESTAV-IPN), miembro del Sistema Nacional de Investigadores nivel I, profesor investigador tiempo completo de la Facultad de Informática Culiacán UAS, arturo.yee@uas.edu.mx. ORCID: https://orcid.org/0000-0002-9052-6588
Quality in the hotel service: proposal of experimental methodology
Abstract
Service quality is a variable that has an underlying purpose, which is customer satisfaction. Service quality indicators in the hotel sector have been analyzed in multiple investigations. The article aims to identify the most significant indicators of service quality, a disruptive quantitative experimental methodology uses machine learning, particularly K-means as an unsupervised learning technique to group the dataset that describes the quality in the service. The results of the statistical analysis show that the most important indicators were Assertiveness and Clarifications of human capital. The use of new methodologies contributes to analyze those indicators of quality in the hotel service and multidisciplinary information to promote scenarios to make managerial decisions in the hotel sector.
Keywords: service quality, quality indicators, experimental proposal, machine learning.
1. Introducción
La intangibilidad de los servicios tiene un propósito de rentabilidad aún y que estos dependen de un esfuerzo humano (Albrecht y Zemke, 1988; Lamb, Hair y McDaniel, 2002; Stanton et al, 2004); por otra parte, el aspecto medular de los servicios confiere un supuesto de conseguir la experiencia positiva de a quien se le otorga al que se le denomina cliente (Zeithaml, BIitner y Gremler, 2010). La calidad de un servicio redunda en un componente esencial como lo es la satisfacción del cliente, sin embargo, es útil señalar que para lograr dicho propósito es justificable determinar aquellos indicadores que intervienen en proceso de rendimiento de un servicio y/o producto hasta el reconocimiento innegable de la satisfacción por parte del cliente.
Por esta razón, es de suma importancia establecer la diferencia sobre la calidad en su forma semántica y desde la expectativa de los clientes; primero el abordaje del juicio sobre un producto o servicio, pondera la superioridad de uno de estos sobre otro (Zeithaml, 1988), por otro lado, la comparación de las expectativas del cliente es determinante con el resultado que recibe de un producto o servicio (Parasuraman, Zeithaml y Berry, 1985a; Colmenares y Saavedra, 2007).
Actualmente, los indicadores para determinar calidad en el servicio se basan en modelos reconocidos como el Servqual de Parasuraman et al, (1988a), aunque este modelo, en el cual intervienen cinco dimensiones, ha sido refutado por Knutson et al, (1990a) al señalar que mide la calidad de manera generalizada, y no de manera eficaz como su modelo Lodgserv. Dichos modelos y otros como Mei et al, (1999) y Servperf de Taylor y Cronin, (1992) evalúan la calidad de un servicio mediante ítems sobre la percepción y las expectativas de un cliente; investigaciones sobre calidad en el servicio se han adoptado a diversos giros comerciales sobre todo para conocer la realidad sobre el ofrecimiento de sus productos o servicios, sin embargo, la subjetividad sobre esta variable es el común denominador en las investigaciones.
En la actualidad los servicios de alojamiento u hospitalidad, en el sector turístico, tiene alta dependencia de la satisfacción del cliente, a decir de Mendoza, Orgambídez y Carrasco, (2010), empero, para determinar cierto nivel de satisfacción es necesario reconocer qué áreas esenciales de la organización se deben medir y con que indicadores, como en este caso, la calidad en el servicio.
La calidad en el servicio permite la satisfacción al cliente en el sector hotelero, según Alnawas y Hemsley-Brown, (2019a); en particular, los indicadores que miden esa calidad son empatía, elementos tangibles y seguridad, entre otras, todas ellas basadas en el modelo Servqual de Parasuraman et al, (1988b).
Así pues, el objetivo de este artículo de investigación es identificar los indicadores más significativos de la calidad en el servicio que ofrecen las organizaciones respecto a la hospitalidad que brindan hoteles categoría cuatro estrellas de Mazatlán, Sinaloa, México, mediante el uso de técnica de inteligencia artificial, y técnicas de aprendizaje de máquina (machine learning, por sus siglas en inglés) como un procedimiento diferente a las metodologías usadas tradicionalmente en las ciencias económicas-administrativas.
Por lo tanto, se han tomado en cuenta los indicadores de la calidad que se encuentran en la literatura especializada como: conocimientos y habilidades, confianza, aclaraciones sobre dudas, capacitación, rapidez, disposición, respuestas, actitudes, empatía, experiencia, servicio, asertividad del capital humano, satisfacción, género y tipo de turista, como elemento de contribución a la calidad en el servicio. En el análisis literario de la variable estudiada, los procedimientos para determinar su relación con otra variable y obtener un resultado o prueba de supuesto, han sido utilizadas las técnicas estadísticas descriptivas e inferenciales como tabulaciones cruzadas, correlaciones lineales y posteriormente una técnica como al PLS-SEM, como análisis multivariante para probar modelos estructurales.
Actualmente, existen otras vías de llegar a un objetivo de investigación en las ciencias económicas-administrativas como lo es el aprendizaje de máquina, ya que esta es una subárea de la Inteligencia Artificial (IA) que provee técnicas de aprendizaje para crear modelos computacionales que sean capaces de inferir y deducir el conocimiento a partir de un conjunto de datos (Mitchell, 1997).
Estos modelos utilizan una gran cantidad de datos, los cuales representan los patrones que se desean aprender. En aprendizaje de máquina existe una taxonomía en la forma en que los modelos aprenden o son entrenados, se distinguen dos: Aprendizaje supervisado y Aprendizaje no supervisado (Kononenko y Kukar, 2007).
En el presente trabajo, se utiliza K-medias como técnica de aprendizaje no supervisado, para generar diferentes modelos que agrupan un conjunto de datos, el cual permite describir la calidad en el servicio en hoteles de cuatro estrellas, y a partir de esa agrupación poder determinar la importancia de cada indicador de la variable en los diferentes grupos formados utilizando una técnica basada en Permutation Feature Importance (PFI, por sus siglas en inglés).
La funcionalidad de estos modelos radica en identificar que indicador extraído de cada uno de ellos contiene mayor error estadístico, lo cual revelaría que el indicador es sumamente importante para el modelo. En consecuencia, a mayor error, mayor importancia del indicador.
2. Calidad en el servicio: revisión de la literatura
El tema de calidad en el servicio es un término difícil de conceptualizar, aunque esencial en el proceso organizacional; la perspectiva de esta variable es visto como antecedente de la satisfacción del cliente, según Nunkoo et al, (2019). Los clientes califican el desempeño del servicio basado en aspectos tangibles e intangibles, lo que influye en su experiencia global de los indicadores evaluados (Torres, 2014), es decir, en indicadores de pertinencia evaluativa.
Así pues, la calidad en el servicio, desde la óptica de la percepción y la expectativa del cliente, está basada en el juicio sobre la superioridad de un producto o servicio (Parasuraman et al, 1985; Zeithaml, 1988); para el caso del sector hotelero existen modelos que han evaluado indicadores cuya pertinencia se basa en las características propias del hotel, su categoría y la zona geográfica donde este se encuentre.
La variedad de modelos de evaluación de calidad en el servicio surge de la necesidad de determinar si los procesos organizativos contribuyen a la satisfacción del cliente; en los primeros esfuerzos por identificar indicadores de esta variable (Parasuraman et al, 1988) establecieron a la fiabilidad, sensibilidad, seguridad, empatía y elementos tangibles, como aquellos que en primera instancia ofrecían a los clientes la calidad en el servicio esperado y mediante la evaluación de los indicadores se establece la satisfacción el cliente (Ganga, Alarcón & Pedraja, 2019).
De este primer acercamiento para identificar los indicadores de la calidad surgieron modelos que como el Lodgserv de Knutson et al, (1990), Servperf de Taylor y Cronin (1992), Hotelqual de Falces et al, (1999), Holserv de Mei et al, (1999), así como el SSQH de Wu y Ko (2013), en el cuadro 1, estos modelos han sido los propuestos para explicar cuáles indicadores se ajustan a las necesidades del servicio a clientes en el sector hotelero y por consecuencia abonar a la satisfacción del cliente.
Cuadro 1
Indicadores de la calidad aplicables al sector hotelero
|
Modelo |
Autores |
Indicadores |
|
Servqual |
Parasumaran et al, (1988) |
Confiabilidad, capacidad de respuesta, seguridad, empatía y aspectos tangibles |
|
Lodgserv |
Knutson et al, (1990c) |
Confiabilidad, capacidad de respuesta, seguridad, empatía y aspectos tangibles |
|
Servperf |
Taylor y Cronin (1994) |
Elementos tangibles, la confiabilidad, respuesta rápida, seguridad y a la empatía |
|
Hotelqual |
Falces et al, (1999) |
La evaluación del personal, de las instalaciones y su funcionamiento y la organización del servicio |
Nota: Elaboración propia con datos de Parasumaran et al, (1988), Knutson et al, (1990), Taylor y Cronin (1994) y Falces et al, (1999).
En el estado del arte sobre los indicadores de la calidad en el servicio, la empatía del capital humano se aborda de manera toral, (Coronel et al, 2019; Ibarra-Morales et al, 2020 y Silva-Treviño et al, 2021) manifiestan entonces a la empatía como parte sustancial de su evaluación. La empatía se vincula con la atención personalizada al cliente o usuario de un servicio, la cual se basa en atender y escuchar necesidades de estos con el propósito de proporcionar un servicio de calidad que subyace en la capacidad del capital humano y las políticas de una organización que capacitan a dicho capital.
Asimismo, los aspectos intangibles con mayor impacto en la satisfacción del cliente suelen ser el compromiso, la amabilidad, la atención y cortesía (Sampaio et al, 2019); esto además de tener injerencia en la experiencia del cliente, determina a su vez la calidad en el servicio otorgado en los hoteles.
La comunicación en los hoteles es un indicador de la calidad en el servicio que sugiere una estrategia que dota de información al capital humano, que durante el proceso es el encargado de trasmitir las bondades de las organizaciones a los clientes usuarios (Capriotti, 2013 en Duffus y Pons, 2018), aunque, (Anholt, 2014) sostiene que en el proceso de emitir o comunicar un mensaje organizacional, el cliente puede llegar a reconstruir o contribuir al mensaje organizacional, basado en su propia experiencia, y con ello se obtiene retroalimentación a la organización; en este sentido, algunos indicadores como la asertividad emanado de la comunicación es determinante para las estrategias empresariales (Lesmes, Barrientos-Monsalve, y Cordero, 2020) al igual que las aclaraciones. Dos indicadores que potencializa la eficiencia en los procesos organizativos son los conocimientos y habilidades, estos tienen dos vertientes, la educación de un individuo en un sistema educativo y la experiencia laboral, ambas aristas permiten al individuo considerarse apto para coadyuvar al proceso organizacional, cuya evaluación depende de la interacción con el cliente en el otorgamiento del servicio hotelero.
Lepak y Snell (1999) enfatizan que la educación y la experiencia son factores determinantes para el desarrollo de habilidades y conocimientos, a su vez, estos factores van en concordancia con los costos de inversión, es decir, la capacitación del capital humano, otro indicador que contribuye a la calidad en el servicio. Por tanto, en el sector hotelero, el capital humano no solo debe conocer los atributos del servicio, sino adecuar estos atributos a las necesidades de los clientes con su habilidad y conocimiento previo (Úbeda-García et al, 2018). Otro indicador que tiene un impacto en la experiencia del cliente de los hoteles, es la seguridad que se ocupa de preservar las pertenencias y/o propiedades de los clientes (Enz, 2009; Alnawas y Hemsley-Brown, 2019); y es que estos son propensos a acceder a la compra de servicios hoteleros que tienen estrictas medidas de seguridad (Feickert et al, 2006). Primordial para la decisión de la compra de servicios hoteleros es la infraestructura o los aspectos tangibles, la infraestructura turística es un elemento diseñado para la atención oportuna del visitante a un determinado destino; si bien es cierto, aborda sistemas como el de alimentación y acompañamiento, toma en cuenta la infraestructura del alojamiento como esencial para la satisfacción del cliente (Adebayo e Iweka, 2014).
En suma, la competitividad de los hoteles depende de la eficiencia del capital humano y la simplicidad de los procesos organizativos que se tiene que llevar a cabo para la calidad en el servicio; con ello el conocimiento se realza como un proceso estratégico en las organizaciones (Master y Miles, 2002; Campbell et al, 2012 y Ferrary, 2015).
Innegable que la interacción entre el cliente con la organización hotelera y las necesidades de satisfacer un deseo o manifestar una experiencia positiva en los hoteles recae en el capital humano, es parte fundamental entre la experiencia de vivir una estancia de calidad con el dominio de roles organizacionales, tal como es la atención individualizada que sostienen (Lemy et al, 2019). De modo que, la percepción de la calidad en el servicio por parte del cliente, depende de las mejores actitudes del capital humano (Chiang et al, 2018), si la calidad en el servicio es deficiente, existe la premisa de que algún indicador tuvo una falla determinante y, en consecuencia, la búsqueda de experiencias positivas y hasta de la fidelización imposibilita la relación en el futuro del cliente con el hotel, el elemento tangible también es importante.
Fundamental para las investigaciones es el contexto y el seguimiento del objetivo de investigación, el enfoque, alcance y técnicas utilizadas al momento de evaluar para entender, conocer y paliar o erradicar cierta problemática. En definitiva, determinar el procedimiento es sumamente importante para ofrecer resultados que puedan ser caracterizados de tal manera que den respuesta al planteamiento principal de una investigación. En definitiva, la propuesta de esta investigación, considera 15 indicadores que intervienen en el proceso organizacional de los hoteles (cuadro 2) con ello se pretende determinar un significativo nivel de satisfacción en relación a la calidad en el servicio.
Cuadro 2
Indicadores que propician calidad en el servicio
|
Propuesta de indicadores |
Conocimientos y habilidades |
Calidad en el servicio |
|
Confianza |
||
|
Aclaraciones |
||
|
Capacitación |
||
|
Rapidez |
||
|
Disposición |
||
|
Respuestas |
||
|
Actitudes |
||
|
Empatía |
||
|
Experiencia |
||
|
Servicio |
||
|
Asertividad |
||
|
Satisfacción |
||
|
Género |
||
|
Tipo de turista |
Fuente: elaboración propia basada en literatura especializada
El grupo de propuestas de indicadores de la investigación, son en consecuencia importantes en la interacción con el cliente dentro de los hoteles suponen (Huang y Hsu, 2009; Nicholls, 2010, 2011) con ello deviene la probable experiencia efectiva de estos en su estancia y alojamiento en los hoteles.
Por otra parte, en cuanto a tipo de metodologías, procesos y/o procedimientos para identificar ciertos indicadores, dimensiones y/o relaciones entre variables, se encuentra el uso de técnicas estadísticas tradicionales o mayormente usadas en la ciencia administrativa emanada de las Ciencias Sociales. Especialmente en estudios que tienen una relación estrecha con la hospitalidad y sistemas de alojamiento, suelen ser de mayor impacto los estudios mixtos, perfilados al método cuantitativo, las investigaciones esgrimen estadística descriptiva e inferencial. Sin embargo, el uso de metodología como la de Inteligencia Artificial (IA) y sus técnicas pueden contribuir a esbozar resultados diferentes con la intención de reducir los sesgos de las investigaciones del área administrativa y que al permitir aspectos multidisciplinares coadyuve a identificar oportunidades de mejora y de aplicación en estas áreas.
2.1. Trabajos relacionados con la calidad en el servicio
Los estudios referidos a continuación presentan resultados que validan por un lado su relevancia y por otro, la necesidad del uso de nueva metodología para la evaluación de indicadores de la calidad en el servicio. Para determinar la relación entre la calidad en el servicio y la satisfacción percibida en hoteles (Keshavarz y Jamshidi, 2018) utilizaron un modelo estructural de correlación de ambas variables, cuya metodología infiere una relación positiva entre ellas. El-Adly (2018) utiliza un modelo de ecuaciones estructurales para valorar el servicio de la hospitalidad entre otros indicadores, determinó que la calidad tiene un efecto significativo positivo en la satisfacción de los clientes.
En hoteles de Emiratos Árabes Unidos (Ahmad y Papastathopoulos, 2018) usaron metodología mixta para concluir que las variables de estudio del modelo Servqual de (Parasuraman et al, 1988) son significativamente positivos con la satisfacción del cliente.
Por otro lado, (Izquierdo et al, 2018) en la provincia del Oro Ecuador, midieron la calidad hotelera mediante en la escala Servqual con el propósito de identificar el nivel de calidad en los servicios ofrecidos a los turistas por los establecimientos hoteleros. Los indicadores que midieron fueron elementos tangibles, confiabilidad, capacidad de respuesta, seguridad y empatía.
En el mismo sentido, (Liébana, 2019) en Granada, España, identificaron las dimensiones de la calidad de servicio mediante la escala del modelo Servqual. En el mismo tenor (Cordova et al, 2019; Vidrio-Barón et al, 2020) midieron la calidad en el servicio evaluando los indicadores del modelo Servqual y usando metodologías comunes históricas.
2.2. Inteligencia Artificial
En contra parte, algunos estudios se han caracterizado por adecuar una metodología computacional a las ciencias administrativas, ya que las técnicas utilizadas esgrimen algoritmos para ofrecer respuestas a los objetivos de la investigación.
Para ello, es apremiante definir la palabra algoritmo, para (Brassard y Bratley, 1997; Cormen y Leiserson, 2009) sostienen que son el conjunto de instrucciones ordenadas y finitas que permite solucionar un problema. Su función es trasformar datos de una problemática en datos de solución, a estos se les conoce como datos de entrada y salida (Manber, 1989), asimismo, deviene en el análisis y/o predicción de un comportamiento de una variable.
Para fortalecer el uso de los algoritmos de Inteligencia Artificial, se observó el uso de algunos de ellos en el sector turístico, como es el caso de (Sun et al, 2019) quienes utilizan el aprendizaje automático para pronosticar el arribo de turistas a centros turísticos.
Asimismo, Giglio et al, (2019) utilizan algoritmos de aprendizajes en las redes sociales para determinar gustos en los consumidores; por otra parte, en el sector hotelero (Ku et al, 2019; Shin et al, 2019; Moros et al, 2019) buscan predecir la recomendación de hoteles a otras personas mediante el uso de Inteligencia Artificial.
Los indicadores de investigación para la calidad en el servicio que se tomaron en cuenta fueron: elementos tangibles, fiabilidad, capacidad de respuesta, seguridad, empatía, cuya recolección de datos fue mediante el modelo Caltur del Plan Nacional de Calidad Turística de Colombia, así como los algoritmos Random Forest, máquinas de soporte vectorial (SVM, por sus siglas en inglés), K-vecinos más cercanos (KNN, por sus siglas en inglés), árbol de decisión, redes neuronales y CN2.
Este se aplicó a 68 clientes hoteleros. En definitiva, las técnicas estadísticas utilizadas en las ciencias sociales son verdaderamente de gran ayuda, tanto la descriptiva como la inferencial que permite, por, ejemplo, la distribución de frecuencias y tendencias, así como establecer hipótesis nulas y alternativas. En este caso, se ha tomado la decisión de diseñar un experimento con técnicas de Inteligencia Artificial, que determine el ranking de los indicadores de la calidad en el servicio que permita definir agrupaciones existentes de los datos obtenidos con la técnica computacional K-medias.
3. Materiales y métodos
El siguiente apartado esta definido por los materiales y métodos que se utilizaron para identificar los indicadores más significativos de la calidad en el servicio.
3.1. Descripción del instrumento para la obtención de los datos
Determinar el procedimiento es sumamente importante para ofrecer resultados que puedan ser caracterizados de tal manera que den respuesta al planteamiento principal de una investigación. En definitiva, la propuesta de esta investigación considera 15 indicadores que intervienen en el proceso organizacional de los hoteles (cuadro 3) con ello se pretende determinar un significativo nivel de satisfacción en relación a la calidad en el servicio.
El conjunto de datos se obtuvo mediante el uso de una encuesta con una escala Likert de cinco puntos, el intervalo de confianza de para dicho instrumento fue de 95.5%, un índice de alfa Cronbach de 0.92 cuyo constructo fue validado por el software Dyane 4.0 y la estrategia muestral fue probabilística al azar.
Cuadro 3
Descripción de indicadores de investigación
|
Indicadores |
Definición |
|
Conocimientos y habilidades |
Grado de conocimiento de procesos de servicio y práctica de resolución de conflictos |
|
Confianza |
Capacidad de realizar funciones que no pongan en riesgo la integridad de los usuarios del servicio hotelero |
|
Aclaraciones |
Correcciones sobre la atención al usuario del servicio hotelero |
|
Capacitación |
Nivel de adquisición de conocimientos para lograr los objetivos estratégicos de la organización |
|
Rapidez |
Cualidad para afrontar los procesos de servicios que se ofrecen en todas las áreas del hotel |
|
Disposición |
Aptitud y gentiliza para ofrecer servicios de calidad |
|
Respuestas |
Nivel de contestación ofrecida a los usuarios de los servicios para lograr su satisfacción |
|
Actitudes |
Postura psicológica para ofrecer experiencias positivas a los usuarios del servicio hotelero |
|
Empatía |
Identificación de necesidades y atención personalizada a los usuarios del servicio |
|
Experiencia |
Niveles de conocimiento sobre las prácticas del servicio a los usuarios |
|
Servicio |
Conjunto de procesos emanados de la administración estratégica de la organización |
|
Asertividad |
Habilidades de expresión corporal y comunicación hacia los usuarios del servicio hotelero |
|
Satisfacción |
Acciones sobre el servicio otorgado a los usuarios que impactan en la imagen de la organización |
|
Género |
Identificación de las características de los individuos para determinar las estrategias de servicio en el hotel |
|
Tipo de turista |
Identificación de individuos nacionales y extranjeros para determinar las estrategias de servicio en el hotel |
Nota: definición de los indicadores propuestas para la investigación
3.2. Técnica de agrupamiento K-medias (K-means)
El agrupamiento consiste en encontrar una estructura o patrón en un conjunto de datos no etiquetados. Los algoritmos de agrupamiento o de clusterización, analizan el conjunto de datos para determinarlos grupos existentes.
El algoritmo y/o técnica de aprendizaje K-medias fue propuesto MacQueen (1967) esta forma modelos predictivos que permite descubrir agrupamientos en conjuntos de datos, por lo que recibe el nombre de técnica de clusterización. El objetivo del análisis de clusterización es separar las instancias del conjunto de datos en grupos (clusters) de manera que las instancias que pertenezcan a un grupo sean muy similares entre sí, y las instancias que pertenezcan a grupos diferentes sean muy disimilares. La técnica K-medias busca encontrar la partición de N instancias (individuos) en K grupos de tal forma que se minimice la suma de distancias con respecto al representante (centroide)
del grupo, descrita en la ecuación (1).
Donde es una instancia que pertenece al grupo cuyo representante es y es la métrica de distancia utilizada como medida de similaridad entre las instancias, para este trabajo definimos como la distancia euclidiana descrita en la ecuación (2).
Cada grupo tiene un representante, centroide, que se obtiene calculando el promedio de las instancias que conforman al grupo. El valor de K es un parámetro que es conocido, y lo define el usuario. El algoritmo K-medias se describe en el cuadro 4.
Cuadro 4
Descripción del algoritmo K-medias
Fuente: elaboración propia
3.3. Técnica basada en Permutation Feature Importance (PFI)
La técnica Permutation Feature Importance (PFI) mide el aumento en el error de predicción del modelo después de que se permuten los valores de la característica, en este caso los indicadores la variable, lo que rompe la relación entre la característica y el resultado real según Molnar (2019). El concepto de permutación de importancia de las características es realmente sencillo, lo que lleva a cabo es medir la importancia de una característica calculando el aumento en el error de predicción del modelo después de permutar la característica. Una característica es importante si al mezclar sus valores aumenta el error del modelo (en nuestro caso es un modelo de clusterización basado en K-medias), porque en este caso el modelo se basó en la característica para la predicción. Una característica no es importante si al mezclar sus valores no se modifica el error del modelo, porque en particular el modelo ignoró la característica para la predicción Molnar (2019). Breiman (2001) propuso la técnica PFI para la técnica de bosques aleatorios (random forests, por su significado en inglés). Con base en esta idea, Fisher, Rudin y Dominici (2019) propusieron una técnica para calcular la importancia de la característica y la llamaron model reliance. A continuación, se resumen los pasos principales del algoritmo de PFI en el cuadro 5.
Cuadro 5
Descripción del algoritmo Permutation Feature Importance
|
Entrada |
Un modelo de aprendizaje automático entrenado. |
|
Paso 1 |
Calcular el error de predicción del conjunto de datos (base) |
|
Paso 2 |
Mezclar aleatoriamente las características en el conjunto de datos. |
|
Paso 3 |
Calcular el error de predicción en el conjunto de datos mezclado. |
|
Paso 4 |
Almacenar la diferencia entre el error de predicción del conjunto de datos (base) referencia y el error de predicción del conjunto de datos mezclados como la importancia de la característica. |
|
PASO 5 |
Repetir los pasos 2, 3 y 4 varias veces y reportar el promedio de importancia (la diferencia entre los errores). Esto es para mitigar los efectos de la mezcla aleatoria. |
|
Salida |
Una lista ordenada de características junto con sus valores promedio de importancia. Las características que generen un error de predicción grande se les asigna mayor importancia que a las características que generen un error de predicción mínimo en el modelo. |
Fuente: elaboración propia
PFI genera una lista ordenada de características junto con sus valores de importancia. La interpretación de la salida de este algoritmo es sencilla. Las características ubicadas en rangos más altos tienen más impacto (importancia) en las predicciones del modelo. Las características en los rangos más bajos tienen menos impacto en las predicciones del modelo. Además, los valores de importancia representan la importancia relativa de las características.
En este trabajo de investigación se calculó la importancia de cada característica en términos de la tasa de clasificación errónea (missclasification rate, por su significado en inglés) de permutación para cada característica (variable) de los datos, ver ecuación 3.
Donde es el error de referencia del conjunto de datos base y
es el error calculado del conjunto de datos mezclado. Se calcula el
como la diferencia de
menos el promedio de n veces del para
cada característica (variable) de los datos.
4. Indicadores más significativos de la calidad en el servicio: principales resultados
En esta sección, se describe la etapa experimental de la investigación, además se presenta los resultados experimentales de los modelos computaciones basados en K-medias. Los experimentos fueron realizados en una computadora con las siguientes características. Procesador Intel Xeon W-2133, 16 GB de RAM.
Sistema operativo Ubuntu 16.04. Para desarrollar los modelos de clusterización se utilizó el lenguaje de programación R, con las bibliotecas flexclust y FeatureImpCluster, en un entorno virtual creado en Anaconda 4.6.7 y R en su versión 3.6.3. Flexclust de Leisch (2006) es una biblioteca de R que permite implementar diferentes técnicas de clusterización; otros métodos de clusterización que incluyen son hard competitive learning, neural gas, and QT clustering. FeatureImpCluster de Pfaffel (2021) es una biblioteca de R que permite implementar un enfoque novedoso para medir la importancia de las características en la agrupación de K-medias utilizando la técnica Permutation Feature Importance.
Para el presente trabajo de investigación se determinó un objeto de evaluación con las siguientes características, ser un hotel de cuatro estrellas con presencia en zona geográfica del litoral mexicano, particularmente el océano pacífico, con presencia e imagen internacional, con una infraestructura que abarcó restaurante, bar, alberca y concierge.
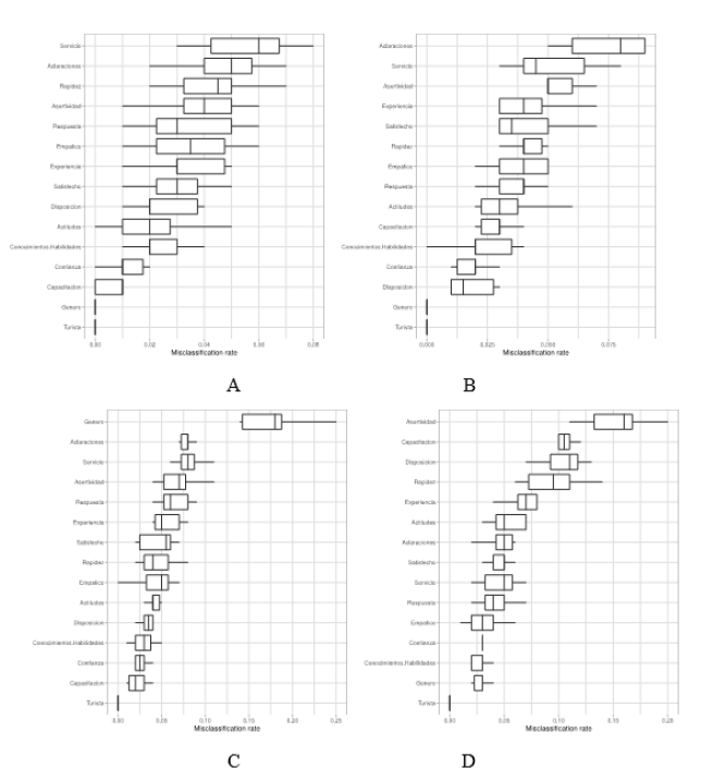
El conjunto de datos se obtuvo mediante el uso de una encuesta, con un intervalo de confianza de 95.5%, un índice de alfa Cronbach de 0.92 cuyo constructo fue validado por el software Dyane 4.0, dicho instrumento midió 15 indicadores de la calidad en el servicio; con un muestreo probabilístico al azar cuyo resultado fue de 100 individuos. Se construyeron 10 modelos para cada valor de K (2, 3, 5 y 7) utilizando el algoritmo de K-medias implementado en flexclust y se calculó la importancia de los indicadores de cada modelo con el método implementando en FeatureImpCluster. Se reporta el promedio de los resultados de los 10 modelos para cada valor de K, (ilustración 1).
Ilustración 1
Resultados de la técnica PFI
Nota: ilustraciones obtenidas en los experimentos
Fuente: elaboración propia
El resultado de la técnica PFI, la cual determina la importancia de cada característica en los diferentes modelos de clusterización del algoritmo de K-medias. A representa cuando K = 2, B cuando K = 3, C cuando K = 5 y D cuando K = 7. Con base en los resultados obtenido con los diferentes modelos de clusterización basados en K-medias, la Ilustración 1 resume el ordenamiento de la importancia de los indicadores.
En primer lugar, los indicadores más importantes fueron Asertividad y Aclaraciones, estos dos indicadores son las que en promedio aparecieron en las primeras posiciones de importancia en los diferentes modelos, con los diferentes valores de K, en segundo lugar, fue Servicio, después Rapidez, y Experiencia.
En contraparte, los indicadores menos importantes según el análisis estadístico de los diferentes modelos fueron Capacitación, Género, Conocimiento y Habilidades, Confianza y Turista; en este sentido, la aplicación de estos modelos de evaluación de indicadores, pudieran permitir la abstracción disruptiva a otros hoteles de diferente categoría como tres y cinco estrellas, para describir los mismos indicadores o incluso otros que sean determinados en próximos estudios. En la ilustración 2 se muestra los diferentes grupos que se generaron a partir de los modelos de agrupación basados en K-medias.
Ilustración 2
Desempeño de los diferentes modelos de clusterización del algoritmo de K-medias. A representa cuando K = 2, B cuando K = 3, C cuando K = 5 y D cuando K = 7
La ilustración 2 A representa cuando el modelo utilizó un valor de K = 2, ilustración 2 B cuando el modelo utilizó un valor de K = 3, ilustración 2 C cuando el modelo utilizó un valor de K = 5, e ilustración 2 D cuando el modelo utilizó un valor de K = 7. En resumen, en esta figura, se muestra para cada grupo formado con diferentes valores de K, la importancia de cada indicador con respecto al representante del grupo, (ilustración 2).
5. Conclusiones
En este trabajo se presentó el uso de una metodología de aprendizaje de máquina (machine learning) para determinar la importancia de los indicadores que definen la calidad en el servicio en un hotel categoría cuatro estrellas de Mazatlán, Sinaloa, México. Se realizó un estudio de la literatura especializada, con respecto en los enfoques para analizar la calidad en servicio, y aunque existe certeza de uso de técnicas de Inteligencia Artificial en áreas de las ciencias exactas, computacionales y econométricas, no hay evidencia de propuestas que hagan uso de técnicas de aprendizaje de máquina para analizar y determinar qué indicadores determinan la calidad en el servicio y/o variables bidireccionales en las ciencias administrativas, como la propuesta realizada en este trabajo de investigación.
Por lo tanto, el enfoque metodológico que se propone en el presente trabajo de investigación se considera disruptivo, debido a que es base para futuros análisis cuantitativos en el área administrativa, para determinar calidad en el servicio en el sector hotelero, como en cualquier otro. Los resultados de este trabajo fueron los siguientes, en primer lugar, se aplicó un instrumento metodológico para obtener datos del objeto de estudio, en segundo lugar se aplicaron técnicas de aprendizaje de máquina para evaluar los indicadores que definen la calidad en el servicio, el resultado obtenido fue que Asertividad y Aclaraciones fueron los indicadores más importantes y relevantes del análisis, estos dos indicadores son los que en promedio aparecieron en las primeras posiciones de importancia en los diferentes modelos, con los diferentes valores de K, en segundo término, los indicadores Servicio, Rapidez, y Experiencia. En contraparte, los indicadores menos importantes según el análisis estadístico de los diferentes modelos fueron Capacitación, Género, Conocimiento y Habilidades, Confianza y Turista, estos indicadores aún y que en la literatura especializada forman parte de modelos de calidad en el servicio, no fueron determinantes como contribución a que el cliente se mantuviera satisfecho en su estadía en el hotel. Como trabajo a futuro, existe la intención de realizar un análisis más exhaustivo de diferentes técnicas de aprendizaje de máquina sobre un conjunto de datos más extenso y minuciosamente estructurados para determinar sobre la base de esta metodología disruptiva los indicadores que determinan la calidad en el servicio de los hoteles independientemente de su nivel categórico y sus características.
Referencias bibliográficas
Adebayo, K. A., & Iweka, A. (2014). Optimizing the sustainability of tourism infrastructure in Nigeria through design for deconstruction framewor. American Journal of Tourism Management, 3(1 A), 13-19. https://10.5923/s.tourism.201401.03
Ahmad, S. Z., Ahmad, N., & Papastathopoulos, A. (2018). Measuring service quality and customer satisfaction of the small- and medium-sized hotels (SMSHs) industry: lessons from United Arab Emirates (UAE). Tourism Review, 349-370. https://10.1108/tr-10-2017-0160
Akbaba, A. (2006). Measuring service quality in the hotel industry: A study in a business hotel in Turkey. International Journal of Hospitality Management, 170-192. https://10.1016/j.ijhm.2005.08.006
Albrecht, K., & Zemke, R. (1988). Service America in the New Economy. https://www.karlalbrecht.com
Alnawas, I., & Hemsley-Brown, J. (2019). Examining the key dimensions of customer experience quality in the hotel industry. Journal of Hospitality Marketing & Management, 1-29. https://10.1080/19368623.2019.1568339
Anholt, S. (Enero-Marzo de 2014). Marca nación como autoridad moral. Temas(77), 4-13. https://studylib.es
Brassard, G., & Bratley, P. (1997). Fundamentos de algoritmia. Prentice Hall.
Breiman, L. (2001). Random Forest. Machine Learning, 5-32. https://10.1023/A:1010933404324
Campbell, B. A., Coff, R., & Kryscynski, D. (2012). Rethinking sustained competitive advantage from human capital. Academy of Management Review, 37(3), 376-395 https://10.5465/amr.2010.0276
Capriotti, P. (2013). Planificación estratégica de la imagen corporativa (Cuarta ed.). Málaga, España: Instituto de Investigación en Relaciones Públicas. http://www.bidireccional.net
Chiang, H.-H., Han, T.-S., & McConville, D. (2018). The attitudinal and behavioral impact of brand-centered human resource management: Employee and customer effects. International Journal of Contemporary Hospitality Management, 939-960. https://10.1108/IJCHM-02-2016-0103
Colmenares, O., & Saavedra, J. L. (2007). Aproximación teórica de los modelos conceptuales de la calidad. Técnica administrativa, 6(32), 11-40. https://dianlet.unirioja.es
Cordova, Z. M., Pérez, F. A., & de la Cruz, R. L. (2019). Percepción del huésped en el hotel Avenida, en San Francisco de Campeche México. Revista de la Facultad de Ciencias Económicas y Empresariales, 19(1), 81-87. https://10.24054/01204211.v1.n1.2019.3503
Cormen, T., & Leiserson, C. R. (2009). Introductions to algorithms. Cambridge Massachuset: The MIT Press. https://mitpress.mit.edu
Coronel, S. J., Basantes, Á. R., & Vinueza, J. A. (2019). Un estudio de la calidad del servicio en restaurantes de mariscos Ecuador. Espacios, 40(7), 9-18. http://www.revistaespacios.com
Duffus, M. C., & Pons, G. R. (2018). Mejora de la imagen de hoteles desde la planeación estratégica. Retos de la Dirección, 12(1), 17-37. Obtenido de http://scielo.sld.cu
El-Adly, M. I. (2018). Modelling the relationship between hotel perceived value, customer satisfaction, and customer loyalty. Journal of Retailing and Consumer Services, L, 322-332. https://10.1016/j.jretconser.2018.07.007
Enz, C. A. (2009). The physical safety and security features of US hotels. Cornell Hospitality Quarterly, 11(4), 553-560. https://10.1177/1938965509345963
Falces, D. C., Sierra, B., Becerra, A., & Briñol, P. (1999). Hotelqual: una escala para medir la calidad percibida en servicios de alojamiento. Estudios Turísticos, 95-110. https://dialnet.unirioja.es
Feickert, J., Verma, R., Plaschka, G., & Dev, C. (2006). Safeguarding your customers the guest’s view of hotel security. Cornell Hotel and Restaurant Administration Quarterly, 47(3), 224-244. https://10.1177/0010880406288872
Ferrary, M. (2015). Investing in transferable strategic human capital through alliances in the luxury hotel industry. Journal of Knowledge Management, 1007-1028. https://10.1108/JKM-01-2015-0045
Fisher, A., Rudin, C., & Dominici, F. (2019). All models are wrong, but many are useful: Learning a variable’s importance by studying an entire class of prediction models simultaneously. Journal of Machine Learning Research, 20, 1-81. https://10.48550/arXiv.1801.01489
Ganga Contreras, Francisco, Alarcón Henríquez, Nancy, & Pedraja Rejas, Liliana. (2019). Medición de calidad de servicio mediante el modelo SERVQUAL: el caso del Juzgado de Garantía de la ciudad de Puerto Montt - Chile. Ingeniare. Revista chilena de ingeniería, 27(4), 668-681. https://dx.doi.org/10.4067/S0718-33052019000400668
Giglio, S., Bertacchini, F., Bilotta, E., & Pantano, P. (2019). Using social media to identify tourism attractiveness in six Italian cities. Tourism Management, 306-312. https://10.1016/j.tourman.2018.12.007
Huang, J., & Hsu, C. (2009). The impact of customer-to-customer interaction on cruise experience and vacation satisfaction. Journal of Travel Research, 79-92. https://10.1177/0047287509336466
Ibarra-Morales, L. E., Woolfolk-Gallego, L. E., Meza-López, B. I., & Gelain-Rodríguez, E. T. (2020). Evaluación de la calidad en el servicio: una aplicación práctica en un establecimiento de café. Revista CEA, 6(11), 89-107. https://10.22430/24223182.1430
Izquierdo, V. R., Lazo, S. C., & Andrade, R. M. (2018). La calidad hotelera mediante la escala Servqual en hoteles de la provincia de El Oro, Ecuador. Universidad y Sociedad, 10(2), 228-234. http://scielo.sld.cu
Keshavarz, Y., & Jamshidi, D. (2018). Service quality evaluation and the mediating role of perceived value and customer satisfaction in customer loyalty. International Journal of Tourism Cities, 4(2), 220-244. https://10.1108/IJTC-09-2017-0044
Knutson, B., Stevens, P., Wullaert, C., Patton, M., & Yokoyama, F. (1990). LODGSERV: a service quality index for the lodging industry. Hospitality Research Journal, 14(2), 277-284. https://10.1177/109634809001400230
Kononenko, I., & Kukar, M. (2007). Machine Learning and Data Mining: Introduction to principles and algorithms. Woodhead Publishing. https://www.sciencedirect.com
Ku, C., Hang, Y., Wang, Y., Chen, C., & Hsiao, S. (2019). Artificial Intelligence and Visual Analytics:A Deep-Learning Approach to Analyze Hotel Reviews & Responses. 52nd Hawaii International Conference on System Sciences (HICSS 2019). Hawaii. https://10.24251/HICSS.2019.634
Lamb, C. W., Hair, J., & McDaniel, C. (2002). Marketing. Distrito Federal: CENGAGE Learning. https://fir.bsu.by
Leisch, F. (2006). A toolbox for K-centroids cluster analysis. Computational Statistics & Data Analysis, 526-544. https://10.1016/j.csda.2005.10.006
Lemy, D., Goh, E., & Ferry, J. (2019). Moving out of the silo: How service quality innovations can develop customer loyalty in Indonesia’s hotels. Journal of Vacation Marketing, 1-18. https://10.1177/1356766718819658
Lepak, D. P., & Snell, S. A. (1999). The human resource architecture: Toward a theory of human capital allocation and development. Academy of Management Review, 24(1), 31-48. https://10.5465/amr.1999.1580439
Lesmes, S. A., Barrientos-Monsalve, E. J., & Cordero, D. M. (2020). Competitividad empresarial? Aibi Revista de Investigación, Administración e Ingeniería, 8(1), 147-153. https//10.15649/2346030X.757
Liébana, C. F. (2019). Análisis de la calidad y de la satisfacción en la visita turística. Una aplicación empírica al conjunto monumental de la Alhambra. UNES Universidad, Escuela y Sociedad(7), 54-80. https://digibug.ugr.es
MacQueen, J. (1967). Some methods for classification and analysis of multivariate observations. En Proceedings of the fifth Berkeley symposium on mathematical statics and probability (Vol. I, págs. 281-297). California: University of California Press.
Manber, U. (1989). Introduction to algorithms: A creative approach. Arizona: ADDISON-WESLEY PUBLISHING COMPANY.
Master, J. K., & Miles, G. (2002). Predicting the use of external labor arrangements: a test of the transaction costs perspective. Academy of Management Journal, 45(2), 431-442. https://10.5465/3069357
Mei, A. W. O., Dean, A. M., White, C. J. (1999). Analyzing Service Quality in the Hospitality Industry. Managing Service Quality, 9(2), 136-143.
Mendoza, S. M., Orgambídez, R. A., & Carrasco, G. A. (2010). Orientación a la calidad total, satisfacción laboral, comunicación y compromiso en establecimientos de turismo rural de la sierra de Huelva. Pasos. Revista de Turismo y Patrimonio Cultural, 8(2), 351-361. www.pasosonline.org
Mitchell, T. M. (1997). Machine Learning. New York: McGraw-Hill. https://www.cin.ufpe.br
Molnar, C. (2019). Interpetable Machine Learning. https://christophm.github.io/interpretable
Moros, O. M., Lis, G. J., Castro, N. G., Vargas, G. C., & Rincón, J. C. (2019). La percepción de calidad de servicio como determinante de recomendación una predicción mediante inteligencia artificial para los hoteles en Cartagena. En A. G. Campos, H. M. Castaño, Á. M. Gáitan, & M. V. Sánchez, Diálogos sobre investigación: avences científicos Konrad Lorenz (págs. 143-162). Bogotá: Fundación universitaria Konrad Lorenz. https://blogs.konradlorenz.edu.co
Nicholls, R. (2010). New directions for customer-to-customer interaction research. Journal of Services Marketing, 87-97. https://10.1108/08876041011017916
Nicholls, R. (2011). Customer-to-customer interaction (CCI): a cross cultural perspective. Contemporary Hospitality Management, 2019-223. https://10.1108/09596111111119338
Nunkoo, R., Teeroovengadum, V., Ringle, C. M., & Sunnassee, V. (2019). Service quality and customer satisfaction: The moderating effects of hotel star rating. International Journal of Hospitality Management. https://10.1016/j.ijhm.2019.102414
Parasuraman, A., Berry, L. L., & Zeithaml, V. A. (1991). Perceived Service Quality as a Customer-Based Performance Measure: An Empirical Examination of Organizational Barriers Using an Extended Service Quality Model. Human Resource Management, 3. https://10.1002/hrm.3930300304
Parasuraman, A., Zeithaml, V. A., & Berry, L. L. (1985). A Conceptual Model of Service Quality and Its Implications for Future Research. Journal of Marketing, 49, 41-50. https://10.2307/1251430
Parasuraman, A., Zeithaml, V. A., & Berry, L. L. (1988). SERVQUAL: A Multiple-Item Scale for Measuring Consumer Perceptions of Service Quality. Journal of Retailing, 64(1).
Parasuraman, A., Zeithaml, V., & Berry, L. R. (1994). Reassessment of Expectations as a Comparison Standard in Measuring Service Quality: implications for Further Research. Journal of Marketing, 58, 111-124. https://10.2307/1252255
Pfaffel, O. (3 de junio de 2021). Package ‘FeatureImpCluster’. https://cran.r-project.org
Sampaio, C. A., Hernández-Mogollón, J. M., & Rodrigues, R. G. (2019). Assessing the relationship between market orientation and business performance in the hotel industry – the mediating role of service quality. Journal of Knowledge Management, 23(IV), 644-633. https://10.1108/JKM-08-2017-0363
Shin, S., Du, Q., & Xiang, Z. (2019). What’s Vs. How’s in Online Hotel Reviews: Comparing Information Value of Content and Writing Style with Machine Learning. Technologies in Tourism, 321-332. https://10.1007/978-3-030-05940-8_25
Silva-Treviño, J. G., Macías-Hernández, B. A., Tello-Leal, E., & Delgado-Rivas, J. G. (2021). La relación entre la calidad en el servicio, satisfacción del cliente y lealtad del cliente: un estudio de caso de una empresa comercial en México. CienciaUAT, 15(2), 85-101. https://10.29059/cienciauat.v15i2.1369
Stanton, W. J., Etzel, M. J., Walker, B., J., Báez, E. P., & Martínez, J. F. (2004). Fundamentos de marketing (10ma. ed.). McGRAW-HILL.
Sun, S., Wei, Y., Tsui, K., & Wang, S. (2019). Forecasting tourist arrivals with machine learning and internet search index. Tourism Management, 1-10. https://10.1016/j.tourman.2018.07.010
Taylor, S. A., & Cronin, J. P. (1994). An empirical Assessmentof the Servrpef Scale. Journal of Marketing Theory and Practice, 52-69. https://10.1080/10696679.1994.11501669
Torres, E. N. (2014). Deconstructing service quality and customer satisfaction: Challenges and directions for future research. Journal of Hospitality Marketing and Management, 652-667. https://10.1080/19368623.2014.846839
Úbeda-García, M., Claver-Cortés, E., Marco-Lajara, B., García-Lillo, F., & Zaragoza-Sáez, C. (2018). Continuous innovation in the hotel industry: The development of organizational ambidexterity through human capital and organizational culture in Spanish hotels. International Journal of Contemporary Hospitality Management, 30(12), 3609-3631. https://10.1108/IJCHM-06-2017-0326
Vidrio-Barón, S. B., Rebolledo-Mendoza, A. R., & Galindo-Salvador, S. D. (2020). Calidad del servicio hotelero, lealtad e intención de compra. Investigación Administrativa, 49(125).
Wu, H. C., & Ko, Y. J. (2013). Assessment of service quality in the hotel industry. Journal of Quality Assurance in Hospitality & Tourism, 218-244. https://10.1080/1528008X.2013.802557
Zeithaml, V. A. (1988). Consumer perceptions of price, quality and value: a means-end modeland synthesis of evidence. Journal of marketing, 2-22. https://10.1177/002224298805200302
Zeithaml, V. A., BIitner, M. J., & Gremler, D. D. (2010). Service marketing strategy. Wiley international encyclopedia of marketing. https://10.1002/9781444316568.wiem01055