Universidad del Zulia (LUZ)

Revista Venezolana de Gerencia (RVG)

Año 28 No. 101, 2023, 11-28

ISSN 1315-9984 / e-ISSN 2477-9423

Como citar: López, R., Calvo, J. L., y De la Torre, I. (2023). Relación entre personalidad y toma de decisiones en los juegos económicos. Revista Venezolana De Gerencia28(101), 11-28. https://doi.org/10.52080/rvgluz.28.101.2

Relación entre personalidad y toma de decisiones en los juegos económicos

López, Rafael*

Calvo, José Luis**

De la Torre, Ignacio***

Resumen

El análisis de la personalidad de los miembros de una organización puede ser un elemento clave en la gestión empresarial. Esta investigación tiene como objetivo estudiar los incentivos de cooperación a través de la existencia de un fondo. Para ello, se examinó los rasgos de personalidad que pueden inferirse a partir del comportamiento en los juegos económicos, empleando dos juegos: bienes públicos y ultimátum, y se midió la personalidad de los participantes con el modelo de los Cinco Grandes. Se realizó un análisis estadístico de los datos recogidos en una población de estudiantes universitarios españoles. Los resultados sugieren que los más extravertidos recibirán un menor beneficio en la segunda ronda y que el aprendizaje producido entre las dos rondas podría deberse al rasgo de apertura a la experiencia. Este rasgo parece estar relacionado con la oferta realizada y las cantidades que los jugadores estaban dispuestos a aceptar. Los hallazgos pueden ser de interés en diversas áreas de la gerencia empresarial, tales como gestión de equipos o negociación. Se concluye la posibilidad de perfilar indirectamente determinados rasgos de personalidad a través del comportamiento en los juegos económicos.

Palabras clave: rasgos de personalidad; toma de decisiones; incentivos de cooperación; juego del ultimátum; juego de bienes comunes.

Recibido: 20.07.22 Aceptado: 07.10.22

* Doctor en Psicología. Doctorando en Economía por la UNED-Escuela Internacional de Doctorado, España. Email: rlopez@behaviorandlaw.com ORCID: https://orcid.org/0000-0002-2807-7419 (autor de correspondencia)

** Doctor en Economía. UNED-Facultad de CC. Económicas y Empresariales, España. Profesor titular de Teoría Económica y Economía Matemática de la UNED. Email: jcalvo@cee.uned.es ORCID: https://orcid.org/0000-0003-1666-1551

*** Grado en Economía. Investigador en la Fundación Universitaria Behavior & Law. Consultor de Neovantas Consulting. Email: delatorre960@gmail.com ORCID: https://orcid.org/0000-0001-9933-4518

Relationship between personality and decision making in economic games

Abstract

The personality analysis of an organization’s members can be a key element in business management. This research examined how personality traits can be inferred from behavior in economic games. Two games were used: public goods and ultimatum, and participants’ personality was measured using the Big Five model. A statistical analysis of the data collected from a Spanish university student population was carried out. The results suggest that the more extraverted will receive less benefit in the second round and that the learning produced between the two rounds could be due to the trait of openness to experience. This trait seems to be related to the offer made and the amounts players were willing to accept. The findings may be of interest in various areas of business management, such as team management or negotiation. It is concluded the possibility of indirectly profiling certain personality traits through behavior in economic games.

Keywords: personality traits; decision making; cooperative incentives; ultimatum game; commons game.

1. Introducción

En el contexto de los juegos económicos, el papel de los rasgos de personalidad en el proceso de toma de decisiones ha sido estudiado por diversos investigadores (Zhao & Smillie, 2014). Una razón probable para vincular los rasgos de personalidad con la teoría de juegos fue tratar de explicar, a través de estas variables, la racionalidad limitada mostrada por los jugadores (Camerer & Ho, 2015). Según Zhao y Smillie (2014), una de las teorías más populares sobre los rasgos de personalidad, que desempeña un papel cada vez más importante en la teoría de los juegos, es el modelo de las cinco grandes dimensiones de personalidad (Barrick & Mount, 1991).

Las cinco dimensiones son la extraversión, cordialidad, apertura a la experiencia, responsabilidad y neuroticismo; según investigaciones anteriores, cada dimensión podría tener efectos diferentes en determinados juegos económicos. Müller y Schwieren (2020) estudiaron esas dimensiones en los juegos de confianza y concluyeron que cuanta más cordialidad y la experiencia que tenga un jugador, más dinero se ofrecerá, mientras que cuanto más neuroticismo y/o responsabilidad, menos dinero se ofrecerá. Esto parece estar en consonancia con los hallazgos de Becker et al, (2012) que mostraron una relación positiva entre la apertura a la experiencia y las cantidades compartidas en los juegos de confianza, así como una relación negativa entre la responsabilidad y el número de propuestas en los juegos del dictador.

Hirsh y Peterson (2009) demos-traron que los niveles más altos de la faceta de retraimiento del neuroticismo pueden aumentar la probabilidad de cooperar en los juegos de dilema del prisionero. Esto podría indicar que la dimensión neuroticismo es una variable inconsistente en los juegos (Zhao & Smillie, 2014), esto podría tener sentido porque el neuroticismo se asocia con el miedo y la ansiedad a equivocarse (Becker et al, 2012; Hirsh & Peterson, 2009). Además, Hirsh y Peterson (2009) mostraron que mayores niveles de la faceta de entusiasmo de la extraversión puede aumentar la cooperación. Este resultado coincide con un hallazgo frecuente en la literatura en la que un aumento de la extraversión suele estar vinculado con relaciones interpersonales positivas (Depue & Morrone-Strupinsky, 2005).

Sin embargo, los agentes no siempre cooperan, como indica la predicción teórica de equilibrio (Keser & Gardner, 1999), e incluso, en ocasiones, el efecto aprendizaje puede apoyar la cooperación en los juegos de bienes comunes (Perolat et al, 2017). Por su parte, Volk, Thöni & Ruigrok (2011) habían estudiado previamente la cooperación en juegos de bienes comunes y su relación con los rasgos de personalidad medido a través de los Cinco Grandes y concluyeron que, a mayor cordialidad, había una mayor tendencia a aportar dinero al fondo común. Kurzban y Houser (2001) observaron una correlación positiva entre el neuroticismo y la tendencia a querer recibir un beneficio por usar un bien o servicio, evitando pagar por él. Esto es similar a los hallazgos observados en otros juegos (Zhao & Smillie, 2014).

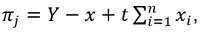
En la presente investigación se realizaron dos experimentos, el primero fue un juego de bienes, con el objeto de estudiar los incentivos de cooperación a través de la existencia de un fondo común en el que los jugadores deciden si contribuyen o no (Hauert, 2011). La forma en que se construye el juego sugiere la posibilidad de desviarse hacia una tragedia de los comunes (Hardin, 2009) en la que los jugadores contribuyen menos de lo esperado. La cantidad total aportada se multiplica por un factor (t) y, racionalmente, la desviación se produce con menos frecuencia cuando el factor es mayor, produciendo más cooperadores que desertores (Hauert, 2011).

El segundo experimento fue un juego de ultimátum (Güth et al, 1982). Según Thaler (1988), hay evidencias para creer que este tipo de juego puede presentar algunas anomalías, en términos de desviaciones respecto del comportamiento racional y teórico. Como ejemplo, Brandstätter et al. (1999) utilizaron este tipo de juego en un experimento que incluía en análisis de personalidad de los participantes en el análisis. Una de las conclusiones fue la importancia de la cordialidad (descrita como benevolencia en el artículo) como elemento que propicia tener en cuenta criterios de justicia en las ofertas hacia receptores considerados no poderosos.

Esto puede ser similar a la variable de reciprocidad que aparece en experimentos similares, como (2019), Bellemare et al. (2018), and Diekmann (2004). Además, Kaltwasser et al. (2016) estudiaron el juego del ultimátum a nivel neuronal y encontraron no solo que los individuos prosociales (una tendencia de la extraversión) eran más propensos a rechazar ofertas injustas, sino que los más asertivos también exhibían este comportamiento. Esto estaría en consonancia con los resultados mencionados en la literatura cuando se considera que la asertividad tiene una relación negativa con el neuroticismo y una relación positiva con la extraversión y la responsabilidad (Bagherian & Mojambari, 2016).

En este sentido, la investigación puede sugerir que la extraversión, la cordialidad y la apertura a la experiencia parecen afectar positivamente a los comportamientos altruistas en los juegos (Becker et al, 2012; Brandstätter et al, 1999; Depue & Morrone-Strupinsky, 2005; Hirsh & Peterson, 2009; Kaltwasser et al, 2016; Müller & Schwieren, 2020; Volk et al, 2011; Zhao & Smillie, 2014). Además, la responsabilidad y el neuroticismo han demostrado en ocasiones ser positivos (Hirsh & Peterson, 2009; Kaltwasser et al, 2016), aunque otros estudios sugieren que podrían ser negativos (Becker et al, 2012; Kaltwasser et al, 2016; Kurzban & Houser, 2001; Müller & Schwieren, 2020).

Dados estos resultados, se propone el presente estudio como una forma de profundizar en la relación entre los rasgos de personalidad y el comportamiento en los juegos económicos. En concreto, se pretende averiguar (a) si los rasgos de personalidad podrían inferirse del comportamiento en los juegos, y (b) cómo los rasgos de personalidad afectan a los cambios de estrategia entre las rondas de los juegos.

2. Rasgos de personalidad y juegos económicos: Proceso de selección de los participantes

Las muestras se extrajeron de la población estudiantil del curso 2019-2020. Los participantes en el estudio jugaron a dos juegos: bienes públicos (Juego 1) y ultimátum (Juego 2). Todos los estudiantes estaban estudiando la asignatura Análisis Económico del Turismo, como parte del Grado en Turismo en una universidad española. El Juego 1 fue jugado por 50 estudiantes, y el Juego 2 por 107 estudiantes.

En el Juego 1, el número total de participantes involucrados en el experimento, es decir, el tamaño de la muestra fue de 50. De ellos, el 20,00% (N = 10) eran hombres, mientras que el 80,00% (N = 40) de los participantes eran mujeres. La mayoría de los participantes universitarios españoles (58,00%, N = 29) pertenecían a la franja de edad de 25 a 45 años. El menor número de participantes (16,83%, N = 17) pertenecía a la franja de edad de menos de 25 años. Para todos los grupos de edad, se excluyeron todas las respuestas con datos perdidos.

En el Juego 2, el número total de participantes en el experimento fue de 107. Un 25,23% (N = 27) de los participantes eran hombres, mientras que el 74,77% (N = 80) de los participantes eran mujeres. La mayoría de los participantes universitarios españoles (71,96%, N = 77) en el Juego 2 también pertenecían a la franja de edad de 25 a 45 años. El menor número de participantes (12,15%, N = 13) pertenecía a la franja de edad de menos de 25 años. Para todos los grupos de edad, se excluyeron todas las respuestas con datos perdidos.

3. Juego de bienes: Diseño experimental

El juego de bienes comunes es una forma estandarizada de economía experimental en la que los jugadores eligen en secreto el número de bienes que se aportan a un fondo común público. A continuación, el resultado conjunto es repartidos, equitativamente, entre los jugadores. Cada jugador se queda con los bienes que mantuvo, más los recibidos del fondo común. En el presente estudio, en el Juego 1, cada participante recibió una dotación inicial (20 puntos).

El establecimiento de incentivos en economía experimental tiene múltiples beneficios: es éticamente recomendable porque compensa el tiempo que los sujetos dedican a participar en la investigación, es una forma de agradecer su participación y aumenta la motivación para realizar la tarea (Voslinsky & Azar, 2021). Por este motivo, se diseñó un sistema de incentivos con puntos extra que se sumaban a la puntuación del examen de la asignatura que estaban cursando los estudiantes.

Esta puntuación no era fija, sino que dependía del rendimiento en los juegos, por lo que la motivación no solo repercutiría en la realización de la tarea, sino que aumentaría la atención en cuanto a la correcta realización del juego. La dotación inicial de 20 puntos correspondía a 2 décimas de la nota de la asignatura. Cada participante aportó lo que quiso de esos puntos a un fondo común, sabiendo que cuando el juego terminara, la aportación total en el fondo común se duplicaría y se distribuiría equitativamente entre todos. En otras palabras, si cada uno aportaba completamente sus 20 puntos, todos obtendrían 40 puntos a cambio (cuatro décimas de la nota). Por lo tanto, el juego se fijó con esta fórmula:

donde la dotación inicial es de 20 unidades, el factor multiplicativo (t) es 2, y el “bien común” es la media de las aportaciones de todos los jugadores. Cada jugador solo debe elegir un valor de x entre 0 y 20.

El juego del ultimátum es un juego de economía experimental en el que dos partes interactúan entre sí de forma anónima. El primer jugador decide cómo dividir una suma de dinero con el otro jugador. Sin embargo, si el segundo jugador rechaza este reparto, ninguno de los dos obtiene cantidad alguna (Stephane et al, 2016). En el presente estudio, el juego 2 consistía en que un jugador disponía de 100 unidades para repartir con su compañero. Al igual que en el juego anterior, se informó a los jugadores de que estas unidades correspondían a un punto de la nota de la asignatura, que podría compartirse con el compañero, si este aceptaba la oferta.

Dado que los jugadores se emparejan para la realización del juego, automáticamente se configuran dos grupos: primeros oferentes, correspondiente al 50% de los jugadores que fueron los que realizaron la oferta en la primera ronda, y primeros receptores, correspondiente a la otra mitad de jugadores que son los que recibieron la oferta (que aceptaron o no) en la primera ronda. Se jugaron dos rondas. En la primera ronda, se preguntó a los primeros oferentes cuánto ofrecerían a un hipotético compañero, y al grupo de primeros receptores cuánto sería lo mínimo que aceptarían en este hipotético juego.

Cuando se les informó de los resultados de la primera ronda, se invirtieron los papeles para la segunda ronda. Los integrantes del grupo primero receptores tenían ahora que responder cuánto ofrecerían a un hipotético compañero, y los miembros del grupo primero emisores respondían cuánto estarían dispuestos a aceptar. En ambas rondas, los jugadores en el papel de emisores fueron emparejados al azar con los jugadores que eran receptores. Si la respuesta del jugador receptor era inferior a la respuesta del emisor, el trato se realizaba según lo ofrecido por el jugador emisor. Si la cantidad contestada por el receptor (la cantidad que estaría dispuesto a aceptar) era mayor que la cantidad ofrecida por el emisor, ninguno recibía nada.

Todos los jugadores rellenaron el Big Five Inventory (BFI) (John & Srivastava, 1999) que proporcionaba una puntuación numérica en cada uno de los cinco rasgos de personalidad (es decir, extraversión, cordialidad, responsabilidad, apertura a la experiencia y neuroticismo). El BFI está compuesto por 44 ítems que consisten en frases cortas y fáciles de entender.

De este modo, se conservan las ventajas de los adjetivos, como la brevedad y la sencillez, al tiempo que se evitan sus desventajas, como la ambigüedad o las múltiples definiciones y la deseabilidad aparente (Benet-Martínez & John, 1998). Los ítems iban precedidos de la afirmación “Me veo a mí mismo como alguien que...” y terminaban con una frase corta, como “es original, tiene ideas nuevas...”. Las dimensiones de los Cinco Grandes pueden definirse como sigue follows (John et al, 2008:120):

(1) apertura a la experiencia, que “describe la amplitud, la profundidad, la originalidad y la complejidad de la vida mental que se deriva de la experiencia de una persona”; (2) responsabilidad, que “describe el control de los impulsos que está socialmente prescrito y facilita los comportamientos dirigidos a tareas y objetivos, como pensar antes de actuar, posponer las recompensas, seguir normas y reglas, y planificar, organizar y priorizar las tareas”; (3) la extraversión, que “implica una aproximación energética al mundo social y material e incluye rasgos como la sociabilidad, la actividad, la asertividad y la emocionalidad positiva”; (4) la cordialidad, que “contrasta una orientación prosocial y comunitaria hacia los demás con el polo opuesto, e incluye rasgos como el altruismo, la ternura, la confianza y la modestia”; y (5) el neuroticismo, que “contrasta la estabilidad emocional y un estado de ánimo estable con la emocionalidad negativa, como sentirse ansioso, nervioso, triste y tenso”.

En primer lugar, se realizó el juego de bienes comunes. Los participantes accedieron a un enlace; a continuación, se les pidieron sus datos sociodemográficos (edad y género) y el consentimiento informado. Posteriormente, cada jugador completó el cuestionario BFI. Una vez completado, el participante proporcionó una respuesta al juego. En segundo lugar, se realizó el juego del ultimátum. El procedimiento fue el mismo que en el juego anterior, pero en este caso, cada participante fue asignado al azar a uno de los dos grupos. Las respuestas de ambos juegos se recogieron y se exportaron en formato SPSS para su posterior análisis.

Para el juego de bienes públicos, se diseñaron dos rondas de contribuciones. En la primera ronda, todos los jugadores aportaban lo que deseaban. Antes de hacer la aportación, todos ellos sabían que habría una segunda ronda en la que se les daría información sobre lo que habían aportado sus compañeros para que pudieran reevaluar su aportación aumentándola o disminuyéndola en esa ronda.

Todos los participantes pudieron acceder a una explicación grabada en vídeo por el profesor, accesible desde el aula virtual de la universidad, donde se detallaban las instrucciones del juego.

La recogida de la muestra se realizó a través de los formularios de Google Forms, siendo estos los enlaces para ambas rondas:

Para este juego, como muestra la Cuadro 1, las variables analizadas fueron las correspondientes a los rasgos de personalidad, las aportaciones realizadas y los rendimientos (outputs) de las Rondas 1 y 2.

Cuadro 1

Variables en Juego 1

Variable

Comentarios

Género

Masculino/Femenino

Extraversión

Puntuación numérica Extraversión (1–5)

Cordialidad

Puntuación numérica Cordialidad (1–5)

Responsabilidad

Puntuación numérica Responsabilidad (1–5)

Neuroticismo

Puntuación numérica Neuroticismo (1–5)

Apertura

Puntuación numérica Apertura (1–5)

Ronda1_Input

Indica la contribución en la primera ronda

Ronda2_Input

Indica la contribución en la segunda ronda

Ronda1_Output

Indica el rendimiento de la primera ronda (es decir, lo que ganan o pierden tras la distribución de los fondos en la primera ronda).

Ronda2_Output

Indica el rendimiento de la segunda ronda (es decir, lo que ganan o pierden tras la distribución de los fondos en la segunda ronda).

Rondas_input_diff

Resultado (diferencia) de la Ronda1_Input menos la Ronda2_Input

Fuente: Elaboración propia.

Para el juego del ultimátum, se crearon dos grupos, siendo los estudiantes asignados aleatoriamente a uno de ellos. El primero era el grupo primero oferentes, y hacía la oferta en la primera ronda. El segundo grupo era el de los primeros receptores, y establecían la cantidad mínima que estaban dispuestos a recibir en la primera ronda. En resumen:

Todos los jugadores fueron emparejados al azar. En cada pareja, si el emisor ofrecía más de lo que el receptor estaba dispuesto a aceptar, se hacía el trato. En caso contrario, no se hacía ningún trato y ninguna de las partes recibía nada.

La recogida de datos de la muestra se realizó a través de Google Forms, siendo estos los enlaces para las dos rondas y los grupos:

Los jugadores fueron informados de los resultados de la primera ronda antes del comienzo de la segunda, por lo que puede haberse producido un efecto de aprendizaje.

Para este juego, como muestra el cuadro 2, las variables analizadas fueron las correspondientes a los rasgos de personalidad, las ofertas realizadas y las cantidades que los participantes estaban dispuestos a recibir.

Cuadro 2

Variables en Juego 2

Variable

Comentarios

Género

Masculino/Femenino

Grupo

  1. Grupo Primero oferentes / (2) Grupo Primero receptores

Extraversión

Puntuación numérica Extraversión (1–5)

Cordialidad

Puntuación numérica Cordialidad (1–5)

Responsabilidad

Puntuación numérica Responsabilidad (1–5)

Neuroticismo

Puntuación numérica Neuroticismo (1–5)

Apertura

Puntuación numérica Apertura (1–5)

Ofrece

Indica la cantidad ofrecida por los jugadores (grupo primero oferentes en la primera ronda y grupo primero receptores en la segunda ronda)

Recibe

Indica la cantidad que el jugador estaba dispuesto a aceptar (grupo primero receptores en la primera ronda y grupo del primero oferentes en la segunda ronda)

Fuente: Elaboración propia.

4. Predicción de personalidad en el juego de bienes comunes

Respecto al juego de bienes comunes, para responder si los rasgos de personalidad podían inferirse del comportamiento en los juegos, realizamos un análisis exploratorio de las correlaciones bivariadas entre las variables de rasgos de personalidad y los inputs y outputs de las rondas 1 y 2. El análisis mostró que la variable Extraversión estaba significativamente correlacionada con Ronda2_Input, r(48)=.293, p=.046, y Ronda2_Output, r(48)=-.293, p=.046.

Para explorar la predictibilidad de las variables, se realiza una serie de regresiones lineales múltiples para predecir las características de los Cinco Grandes utilizando las variables de entrada y salida de la segunda ronda. Las variables Género y Grupo se añadieron al modelo nulo para controlar sus efectos, pero no se incluyeron en el modelo final porque se comprobó que no contribuían estadísticamente en ninguno de los modelos examinados. De los resultados se desprende que, de las cinco dimensiones de los rasgos de personalidad, únicamente la Extraversión dio lugar a un modelo significativo con Ronda2_Output como predictor (tabla 1).

Tabla 1

Coeficientes para el modelo de Extraversión

No estandarizados

Error típico

Estandarizados

t

p

(Constante)

4.60

.44

10.64

.000

Ronda2_Output

-0.30

0.15

-.29

-2.05

.046

Fuente: Elaboración propia.

En la tabla 1, el coeficiente no estandarizado representa la cantidad en que cambia la variable dependiente si la variable independiente se modifica en una unidad, manteniendo constantes las demás variables independientes. El coeficiente estandarizado se mide en unidades de desviación estándar, por lo que un valor beta de –.30 indica que un cambio de una desviación estándar en la variable independiente (Ronda2_Output) provoca un cambio de -.30 desviaciones estándar en la variable dependiente (Extraversión) (tabla 2).

Tabla 2

Descriptivos para el modelo de Extraversión

N

Media

DE

Extraversión

50

3.74

.73

Ronda2_Output

50

28.59

7.11

Fuente: Elaboración propia.

En la Tabla 2, observa que la media de la variable dependiente (Extraversión) fue de 3.74, que representa el centro de los datos de la muestra, y la desviación estándar asociada, que mide la variabilidad de los datos en torno a la media, fue de .73.

La variable Ronda2_Output predijo significativamente la Extraversión, F(1,48) = 4.13, p=.46, y explicó el 9% de la varianza (R² = .09) en la variable predicha. Una inspección de los coeficientes beta (b) indicó que la variable Ronda2_Output tenía una relación negativa significativa con la Extraversión (b=-.30, p=.46). Por lo tanto, la ecuación de regresión para el modelo se escribe como = 4.60 + (-0.30) * Ronda2_Output, donde 4.60 es el intercepto, y -.30 es el valor beta.

5. Efecto aprendizaje en el juego de bienes comunes

Para analizar si había diferencias significativas entre las entradas de la ronda (Ronda1_input y Ronda2_input), se realizó una prueba T de muestras pareadas. Los resultados mostraron una disminución significativa de las entradas de la ronda 1 (M = 10,49, DE = 5,75) a la ronda 2 (M = 8,60, DE = 7,11); t(48) = .58, p < .001.

Para analizar si esta diferencia se debía a los rasgos de personalidad de los jugadores, creamos una nueva variable (Rondas_input_dif) cuyo valor era el Ronda1_input menos Ronda2_input de cada participante; a continuación, realizamos una serie de regresiones lineales múltiples para predecir las características de los Cinco Grandes utilizando la variable Rondas_input_df. Los resultados mostraron que la apertura dio lugar a un modelo significativo con Rondas_input_dif como predictor (tabla 3).

Tabla 3

Coeficientes para el modelo de Apertura

No estandarizados

Error típico

Estandarizados

t

p

(Constante)

3.81

.09

44.39 .000

Rondas_input_dif

−0.32

0.14

.33

2.33 .025

Fuente: Elaboración propia.

En la tabla 3, el coeficiente no estandarizado representa la cantidad en que cambia la variable dependiente si la variable independiente se modifica en una unidad, manteniendo constantes las demás variables independientes. El coeficiente estandarizado se mide en unidades de desviación estándar, por lo que un valor beta de .32 indica que un cambio de una desviación estándar en la variable independiente (Rondas_input_dif) da lugar a un aumento de .32 desviaciones estándar en la variable dependiente (Apertura). En la Tabla 4, observamos que la media de la variable dependiente (Apertura) fue de 3.87, que representa el centro de los datos de la muestra, y la desviación estándar asociada, que mide la variabilidad de los datos en torno a la media, fue de .59.

Tabla 4

Descriptivos para el modelo de Apertura

N

Media

DE

Apertura

50

3.87

.59

Rondas_input_diff

50

1.89

6.04

Fuente: Elaboración propia.

La variable Rondas_input_dif predijo significativamente la Apertura, F(1,48)=5.41, p=.25, y explicó el 9% de la varianza (R² = .09) en la variable predicha. Una inspección de los coeficientes beta (b) indicó que la variable Rondas_input_dif tenía una relación negativa significativa con la Apertura (b=.32, p=.25). Por lo tanto, la ecuación de regresión para el modelo se escribe como = 3.81 + (0.32) * Rondas_input_dif, donde 3.81 es el intercepto y .32 es el valor beta.

6. Predicción de personalidad en el juego del ultimatum

En cuanto al juego del ultimatum, para responder a la primera pregunta de investigación, se analizó si era posible predecir los cinco grandes rasgos de personalidad mediante las variables Ofrece y Recibe a través de una serie de regresiones lineales múltiples. Las variables Género y Grupo se añadieron al modelo nulo para controlar sus efectos y no se incluyeron en el modelo final, ya que no contribuyeron estadísticamente a ninguno de los modelos. En el Juego 2, se observó que, de las cinco dimensiones de los rasgos de personalidad, la Apertura dio lugar a un modelo significativo con las variables Ofrece y Recibe como predictores. En la Tabla 5, se observa que la media de la variable dependiente (Apertura) fue de 3.85, que representa el centro de los datos de la muestra, y su desviación estándar asociada fue de .51.

Tabla 5

Coeficientes para el modelo de Apertura

No estandarizados

Error típico

Estandarizados

t

p

(Constante)

4.54

.26

17.83 . 00

Ofrece

−0.01

0.005

−0.19

−2.04 .04

Recibe

−0.01

0.003

−0.21

−2.27 .03

Fuente: Elaboración propia.

En las Tablas 5 y 6 se observa que las variables Ofrece y Recibe predijeron significativamente el rasgo Apertura, F(2,104)=4.96, p=.01, y explicaron el 9% de la varianza (R²=.09) en la variable predicha. Una inspección de los coeficientes beta (b) indicó que la variable Ofrece tenía una relación significativa y negativa con la Apertura (b=-.01, p=.04).

Tabla 6

Descriptivos para el modelo de Apertura

N

Media

DE

Apertura

107

3.85

.51

Ofrece

107

49.63

9.93

Recibe

107

29.63

16.58

Fuente: Elaboración propia.

La variable expresada en la tabla 6, Recibe también tenía una relación negativa y significativa con la Apertura (b=-.01, p=.03). Por lo tanto, la ecuación de regresión para el modelo es =4.54+(-0.01)*Ofrece+(-0.01)* Recibe, donde 4.54 es el intercepto, -.01 es el valor beta de la variable Ofrece y -.01 es el valor beta de la variable Recibe. Esto demostró que los valores más bajos de las ofertas realizadas y los valores más bajos de la cantidad que los participantes estaba dispuestos a recibir predecían valores más altos del rasgo de apertura.

7. Efecto aprendizaje en el juego del ultimátum

En cuanto a la segunda pregunta de investigación, cómo afectan los rasgos de personalidad a los cambios de estrategia entre rondas, se analizó en primer lugar si había alguna diferencia entre las ofertas realizadas por cada uno de los grupos; si había diferencias, se analizaría si se debían a los distintos niveles de rasgos de personalidad. Los resultados sugieren (ilustración 1) que el grupo de primeros receptores (M=51.02, SD=10.79) parecía ofrecer valores situados más hacia los extremos que el grupo de primeros oferentes (M=48.40, SD=9.04), pero en ambos casos predominaba la oferta en torno a las 50 unidades.

Ilustración 1

Caja de estimación de la dispersión

Chart, scatter chart

Description automatically generated

Fuente: Elaboración propia.

Sin embargo, la evidencia estadística de una prueba T de Student descarta esta idea, por lo que se puede concluir que ambos grupos ofrecieron, en promedio, cantidades que no fueron significativamente diferentes, t(105)=-1.37, p=.180.

En segundo lugar, también se analizó la cantidad mínima necesaria para aceptar una oferta (ilustración 2). De nuevo, se observó que las medias se situaban en torno a las 30 unidades, pero esta vez los valores estaban más distribuidos en el rango. Una vez más, las pruebas estadísticas indicaron que las medias de la cantidad mínima necesaria para aceptar una oferta no eran significativamente diferentes para los dos grupos: grupo primeros oferentes (M=30.04, SD=17.36) y grupo primeros receptores (M= 29,16, SD=15.80); t(105)=.27, p=.787.

Ilustración 2

Ccaja de los grupos

Chart, box and whisker chart

Description automatically generated

Fuente: Elaboración propia.

Por tanto, los resultados muestran que no hubo diferencias significativas entre rondas. Los jugadores se comportaron de la misma manera, ofreciendo valores cercanos a 50 y aceptando una cantidad mínima a recibir cercana a 30, independientemente de si estaban en el grupo que hizo la oferta primero o en el grupo que fijó la cantidad mínima que aceptarían primero. Como no hubo diferencias entre rondas, no fue necesario realizar análisis para revelar si las diferencias se debían a rasgos de personalidad.

8. Utilidad de la inferencia de personalidad en el ámbito gerencial y la toma de decisiones

Boone, de Brabander & van Witteloostuijn (1999:343) concluyeron que su estudio “demuestra claramente que la personalidad del jugador” tenía un efecto en el juego del dilema del prisionero. Hirsh y Peterson (2009) demostraron que las puntuaciones más altas en algunas facetas de la extraversión predecían una mayor probabilidad de cooperación en el mismo juego. En un juego de bienes públicos, Volk et al, (2011) revelaron que los valores prosociales eran indicativos de las preferencias individuales por la cooperación. Dado que la extraversión podría estar positivamente relacionada con la cooperación, nuestra conclusión apunta en la misma dirección. Los resultados del juego de bienes públicos sugieren que las personas que reciben un menor rendimiento (beneficio) en la segunda ronda serán personas con mayores niveles de extraversión.

En el entorno del juego del ultimátum, los resultados mostraron que las cantidades tanto en la oferta como en la recepción (la cantidad mínima que los jugadores estarían dispuestos a recibir) predecían a las personas con mayores niveles de apertura. Las personas más abiertas a la experiencia ofrecen menos y piden menos. Podría ser una posición racional porque es lógico pensar que la gente aceptará cualquier oferta (de lo contrario, significaría perder), y es lógico pensar que un individuo aceptará igualmente cualquier oferta.

Este planteamiento coincide con la propuesta de otros autores, Ziaran et al, (2021) encontraron que la suma mínima aceptable en el juego del ultimátum era predicha, en primer lugar, por la vivacidad y la sociabilidad (faceta amplia de la extraversión). Teniendo en cuenta que es una postura más racional, también puede ser coherente con la investigación de Caputo (2014) que concluyó que los valores altos en apertura a la experiencia se encontraron relacionados con una menor susceptibilidad al anclaje.

En cuanto a las diferencias entre rondas en ambos juegos, solo encontramos este efecto en el primero de ellos. En el juego de bienes públicos con dos rondas de contribución, se reflejó que había un efecto de aprendizaje porque había diferencias entre las cantidades aportadas al fondo público en ambas rondas. Es posible que los jugadores pensaran que sus compañeros harían mayores aportaciones, pero tras ver los resultados de la primera ronda, decidieron reducir sus aportaciones en la segunda.

Por su parte, Janssen y Ahn (2006), sugieren que los jugadores del juego de bienes públicos tienen en cuenta el aprendizaje que los demás puedan tener y son aprendices de creencias. Además, descubrimos que este efecto podría estar relacionado con el rasgo de apertura, ya que las mayores diferencias entre rondas predicen jugadores con mayores niveles de apertura.

En el juego del ultimátum, no hubo diferencias entre rondas, ni diferencias según se ofreciera primero o se recibiera primero. El valor medio para ambos grupos se situó en torno a las 50 unidades como oferta y a las 30 unidades como valor mínimo que estarían dispuestos a recibir. No apareció ningún efecto de aprendizaje, ni pareció haber una relación entre los rasgos de personalidad y la variación entre rondas. Esto podría explicarse por qué este juego está sujeto a un mayor sesgo de justicia, lo que genera un esquema mental más difícil de modificar.

Los juegos económicos pueden ser una forma interesante de inferir rasgos de personalidad sin necesidad de someter a los candidatos a pruebas, lo cual puede evitar la deseabilidad o el engaño en la entrevista (González & López, 2016). En el ámbito del liderazgo, medir la personalidad será interesante, ya que puede influir en la manera de liderar (Zárate-Torres et al, 2022). En el ámbito del consumo, la personalidad puede ser un factor fundamental en la decisión, por ejemplo, de un destino turístico (Chávez-Santana, Ruiz-Mafé & Curras-Pérez, 2021).

La personalidad, además, será un factor influyente en el rendimiento académico (Díaz-Landa et al, 2021) en el fenómeno de la discapacidad (Guillen & Castellano, 2022) o en las expectativas de los trabajadores (Salvador-Moreno et al, 2021). Además, esta investigación también ofrece resultados interesantes en el campo de la negociación.

Por ejemplo, un reparto a partes iguales puede considerarse una postura justa y, por tanto, puede generar una tendencia a cerrar la negociación en ese punto. Sin embargo, nuestro estudio refleja que, ante la posibilidad de perder un negocio, se puede estar dispuesto a bajar el nivel del mínimo para recibir hasta un 30% del importe total, lo cual debería llevar a los negociadores a plantearse una contraoferta ante una oferta justa. Además, nuestro estudio refleja que esto no tendría ninguna relación con los rasgos de personalidad de nuestros interlocutores ni de los nuestros propios.

9. Conclusiones

El presente estudio presenta una conclusión principal de interés en el mundo gerencial. Sabiendo que, en una organización, las personas que la integran son el mayor de sus activos, el conocimiento de los rasgos de personalidad de los mismos será un input fundamental para gestionar la organización.

Existen dos vías para conocer los rasgos de personalidad, la perfilación directa, es decir, realizar un cuestionario de personalidad en el que el sujeto participa activamente, y la perfilación indirecta, que supondrá inferir los rasgos de personalidad a través de la observación del comportamiento del sujeto sin que él se percate del análisis y, por tanto, con escasas posibilidades de manipulación del perfil. Hasta ahora, las investigaciones apuntaban a predecir el comportamiento en los juegos a través de los rasgos de personalidad.

Este estudio, hace lo contrario, predice los rasgos de personalidad a través del comportamiento en los juegos económicos. Si se necesita un perfil especifico para un determinado puesto de trabajo, se podría utilizar el juego de bienes comunes para seleccionar a las personas más cooperadoras, ya que este comportamiento será predictor de la extraversión. Si se necesitase un negociador, se podría utilizar el juego del ultimátum y seleccionar a los candidatos que menor cantidad ofreciesen y estuviesen dispuestos a recibir, o utilizar el juego de bienes comunes y seleccionar a aquellos que tuviesen una mayor diferencia entre rondas. En ambos casos, esto nos aportaría sujetos con altos niveles de apertura a la experiencia, que suelen tener un buen desempeño en el rol de negociadores.

La perfilación indirecta de personalidad a través del comportamiento en juegos económicos puede ser un campo de importante desarrollo futuro. Aun así, los resultados del estudio son poco contundentes. Se podrían llevar a cabo futuras líneas de investigación analizando otros rasgos de personalidad con modelos más actuales, como el HEXACO, que consiste en la honestidad-humildad, la emocionalidad, la extraversión, la cordialidad, la responsabilidad y la apertura a la experiencia.

Del mismo modo, se podrían realizar nuevos estudios con modelos de personalidad que incluyan conductas antisociales, como la Tríada Oscura (compuesta por narcisismo, maquiavelismo y psicopatía) o el Factor D de personalidad, que incluye otra serie de rasgos como la amoralidad, egoísmo, avaricia, sadismo o rencor. También sería interesante investigar los resultados con otros juegos distintos a los utilizados en este estudio.

Referencias bibliograficas

Allgaier, K., Ścigała, K. A., Trautwein, U., Hilbig, B. E., & Zettler, I. (2020). Honesty-humility and dictator and ultimatum game-giving in children. Journal of Research in Personality, 85, 103907. https://doi.org/10.1016/J.JRP.2019.103907

Bagherian, M., & Mojambari, A. K. (2016). The Relationship between BIG Five Personality Traits and Assertiveness. Tendenzen, 25(3), 111–119.

Barrick, M. R., & Mount, M. K. (1991). The big five personality dimensions ans job performance: a meta-analysis. Personnel Psychology, 44(1), 1–26. https://doi.org/10.1111/J.1744-6570.1991.TB00688.X

Becker, A., Deckers, T., Dohmen, T., Falk, A., & Kosse, F. (2012). The Relationship Between Economic Preferences and Psychological Personality Measures. Annual Review of Economics, 4, 453–478. https://doi.org/10.1146/ANNUREV-ECONOMICS-080511-110922

Bellemare, C., Sebald, A., & Suetens, S. (2018). Heterogeneous guilt sensitivities and incentive effects. Experimental Economics, 21(2), 316–336. https://doi.org/10.1007/s10683-017-9543-2

Benet-Martínez, V., & John, O. P. (1998). Los Cinco Grandes Across Cultures and Ethnic Groups: Multitrait Multimethod Analyses of the Big Five in Spanish and English. Journal of Personality and Social Psychology, 75(3). https://doi.org/10.1037/0022-3514.75.3.729

Boone, C., de Brabander, B., & van Witteloostuijn, A. (1999). The impact of personality on behavior in five Prisoner’s Dilemma games. Journal of Economic Psychology, 20(3), 343–377. https://doi.org/10.1016/S0167-4870(99)00012-4

Brandstätter, H., Güth, W., Himmelbauer, J., & Kriz, W. (1999). Prior dispositions and actual behavior in dictator and ultimatum games (SFB 373 Discussion Paper, No. 1999,52). Humboldt University of Berlin, Interdisciplinary Research Project 373: Quantification and Simulation of Economic Processes.

Camerer, C., & Ho, T. (2015). Behavioral Game Theory Experiments and Modeling. In Handbook of Game Theory with Economic Applications (Vol. 4, Issue 1, pp. 517–573). Elsevier B.V. https://doi.org/10.1016/B978-0-444-53766-9.00010-0

Caputo, A. (2014). Relevant information, personality traits and anchoring effect. International Journal of Management and Decision Making, 13(1), 62–76. https://doi.org/10.1504/IJMDM.2014.058470

Chávez-Santana, L., Ruiz-Mafé, C., & Curras-Pérez, R. (2021). Efectos de los usos y gratificaciones de Facebook en la elección de destinos turísticos. Revista de Ciencias Sociales, 27(3), 12–138. https://doi.org/10.31876/rcs.v27i3.36760

Depue, R., & Morrone-Strupinsky, J. (2005). A neurobehavioral model of affiliative bonding: implications for conceptualizing a human trait of affiliation. The Behavioral and Brain Sciences, 28(3), 313–350. https://doi.org/10.1017/S0140525X05000063

Díaz-Landa, B., Meleán-Romero, R., & Marín-Rodriguez, W. (2021). Rendimiento académico de estudiantes en Educación Superior: predicciones de factores influyentes a partir de árboles de decisión. Telos Revista de Estudios Interdisciplinarios En Ciencias Sociales, 23(3). https://doi.org/10.36390/telos233.08

Diekmann, A. (2004). The Power of Reciprocity. Journal of Conflict Resolution, 48(4), 487–505. https://doi.org/10.1177/0022002704265948

González, J. L., & López, R. M. (2016). Personalidad y Comportamiento. Perfilación Indirecta de Personalidad. In Comportamiento no Verbal: más allá de la comunicación y el lenguaje. Madrid: Pir{á}mide.

Guillen, V., & Castellano, Nelson. (2022). Desarrollo de competencias gerenciales para el abordaje de la discapacidad intelectual. Negotium. Revista Científica Electrónica de Negocios., 51, 41–51.

Güth, W., Schmittberger, R., & Schwarze, B. (1982). An experimental analysis of ultimatum bargaining. Journal of Economic Behavior & Organization, 3(4), 367–388. https://doi.org/10.1016/0167-2681(82)90011-7

Hardin, G. (2009). The Tragedy of the Commons. Journal of Natural Resources Policy Research, 1(3), 243–253. https://doi.org/10.1080/19390450903037302

Hauert, C. (2011). Cooperation, collectives formation and specialization. Advances in Complex Systems, 9(4), 315–335. https://doi.org/10.1142/S0219525906000847

Hirsh, J. B., & Peterson, J. B. (2009). Extraversion, neuroticism, and the prisoner’s dilemma. Personality and Individual Differences, 46(2), 254–256. https://doi.org/10.1016/J.PAID.2008.10.006

Janssen, M. A., & Ahn, T. K. (2006). Learning, Signaling, and Social Preferences in Public-Good Games. Ecology and Society, 11(2). http://www.ecologyandsociety.org/vol11/iss2/art21/

John, O. P., Naumann, L. P., & Soto, C. J. (2008). Paradigm shift to the integrative Big Five trait taxonomy: History, measurement, and conceptual issues. In O. P. John, R. W. Robins, & L. A. Pervin (Eds.), Handbook of personality: theory and research. (3rd ed, pp. 114–158). Guilford Press.

John, O. P., & Srivastava, S. (1999). Big Five Inventory ( Bfi ). In L. A. Pervin & O. P. John (Eds.), Handbook of Personality Second Edition: Theory and Research. Guilford Press.

Kaltwasser, L., Hildebrandt, A., Wilhelm, O., & Sommer, W. (2016). Behavioral and neuronal determinants of negative reciprocity in the ultimatum game. Social Cognitive and Affective Neuroscience, 11(10), 1608–1617. https://doi.org/10.1093/SCAN/NSW069

Keser, C., & Gardner, R. (1999). Strategic behavior of experienced subjects in a common pool resource game. International Journal of Game Theory 1999 28:2, 28(2), 241–252. https://doi.org/10.1007/S001820050108

Kurzban, R., & Houser, D. (2001). Individual differences in cooperation in a circular public goods game. European Journal of Personality, 15(S1), S37–S52. https://doi.org/10.1002/PER.420

Lee, K., & Ashton, M. C. (2004). Psychometric Properties of the HEXACO Personality Inventory. Multivariate Behavioral Research, 39(2). https://doi.org/10.1207/s15327906mbr3902_8

Morell, A. (2019). The short arm of guilt. An experiment on group identity and guilt aversion. Journal of Economic Behavior & Organization, 166, 332–345. https://doi.org/10.1016/j.jebo.2019.06.022

Moshagen, M., Hilbig, B. E., & Zettler, I. (2018). The dark core of personality. Psychological Review, 125(5). https://doi.org/10.1037/rev0000111

Müller, J., & Schwieren, C. (2020). Big Five personality factors in the Trust Game. Journal of Business Economics, 90, 37–55. https://doi.org/10.1007/s11573-019-00928-3

Paulhus, D. L., & Williams, K. M. (2002). The Dark Triad of personality: Narcissism, Machiavellianism and psychopathy. Journal of Research in Personality, 36(6), 556–563. https://doi.org/10.1016/S0092-6566(02)00505-6

Perolat, J., Leibo, J. Z., Zambaldi, V., Beattie, C., Tuyls, K., & Graepel, T. (2017). A multi-agent reinforcement learning model of common-pool resource appropriation. 31st Conference on Neural Information Processing Systems (NIPS 2017).

Salvador-Moreno, J. E., Torrens-Pérez, M. E., Vega-Falcón, V., & Noroña-Salcedo, D. R. (2021). Diseño y validación de instrumento para la inserción del salario emocional ante la COVID-19. Retos, 11(21). https://doi.org/10.17163/ret.n21.2021.03

Thaler, R. H. (1988). Anomalies: The Ultimatum Game. Journal of Economic Perspectives, 2(4), 195–206. https://doi.org/10.1257/JEP.2.4.195

Volk, S., Thöni, C., & Ruigrok, W. (2011). Personality, personal values and cooperation preferences in public goods games: A longitudinal study. Personality and Individual Differences, 50(6), 810–815. https://doi.org/10.1016/j.paid.2011.01.001

Voslinsky, A., & Azar, O. H. (2021). Incentives in experimental economics. Journal of Behavioral and Experimental Economics, 93, 101706. https://doi.org/10.1016/j.socec.2021.101706

Zárate-Torres, R., Rey-Sarmiento, F., Prada, R., & Acosta-Prado, J. (2022). Estilo de liderazgo  según  el  género:  diferencias  basadas  en la personalidad de hombres y mujeres. Revista Venezolana  de  Gerencia, 27((Especial  7)), 167–185.

Zhao, K., & Smillie, L. D. (2014). The Role of Interpersonal Traits in Social Decision Making: Exploring Sources of Behavioral Heterogeneity in Economic Games. Personality and Social Psychology Review, 19(3), 277–302. https://doi.org/10.1177/1088868314553709

Ziaran, P., Bacik, R., Gavurova, B., & Fedorko, R. (2021). Entrepreneurship and Sustainability Issues. 8(4), 571–583.