Invest Clin 61(4): 324 - 334, 2020 https://doi.org/10.22209/IC.v61n4a03


image


Comparison between radiotherapy and transoral laser microsurgery treatments in early-stages of glottis cancer:

A five-year follow-up study.


Javier Santabárbara


Department of Microbiology, Pediatrics, Radiology and Public Health, Universidad de Zaragoza, Zaragoza, Spain.

Instituto de Investigación Sanitaria de Aragón (IIS Aragón), Zaragoza, Spain. Centro de Investigación Biomédica en Red de Salud Mental (CIBERSAM). Ministry of Science and Innovation, Madrid, Spain.


Key words: Glottis squamous cell carcinoma; early stages; radiotherapy; transoral laser microsurgery; recurrence; survival.


Abstract. This study was aimed to compare the recurrence-free survival rate among patients with Stage I or II of squamous carcinoma of the glottis treated with transoral laser microsurgery or radiotherapy, at a Spanish tertiary hospital. Between January 2004 and December 2016, data were collected from 120 patients diagnosed with stages I or II of squamous cell carcinoma of the larynx located in the glottis. Ninety-one patients were treated with transoral laser microsurgery and 29 patients received radiotherapy. The recurrence-free survival was studied during the first five years after the primary treatment. Kaplan-Meier survival curves and Cox regression models were performed. The cumulative incidence of glottis cancer recurrence was 62.6% in those treated with transoral laser microsurgery and 65.5% in those treated with radiotherapy. This led to an absolute risk reduction of 2.9% (95% CI: -17.1 to 22.8), and a number needed to treat of 35 patients. Those patients who received transoral laser microsurgery had a 17% lower risk of recurrence of glottis cancer than those treated with radiotherapy (hazard ratio, HR = 0.83; 95% CI 0.42 to 1.64; Cohen’s d = 0.65). In the initial stages of glottis squamous cell carcinoma, treatment with transoral laser microsurgery shows a tendency for higher re- currence-free survival than treatment with radical radiotherapy in the first five years of intervention. Patients were not assigned randomly to the treatment, which might influence the generalization of our findings.


image


Corresponding author: Javier Santabárbara. Departamento de Microbiología, Pediatría, Radiología y Salud Públi- ca. Universidad de Zaragoza. Zaragoza, España. Tel.: +34 976 55 11 67. Email: jsantabarbara@unizar.es


image


Comparación entre los tratamientos con radioterapia o con microcirugía láser transoral en pacientes en estadios tempranos de cáncer de glotis: un estudio de seguimiento por cinco años.

Invest Clin 2020; 61 (4): 324-334


Palabras clave: carcinoma de células escamosas glóticas; estadios tempranos; radioterapia; microcirugía transoral con láser; recurrencia; supervivencia.


Resumen. Este trabajo pretende comparar la tasa de supervivencia libre de recurrencia entre pacientes con carcinoma escamoso de la glotis en estadios I o II, tratados con microcirugía láser transoral o radioterapia, en un hospital Es- pañol de tercer nivel. Entre enero de 2004 y diciembre de 2016, se recopilaron datos de 120 pacientes diagnosticados con etapas I o II de carcinoma de células escamosas de la laringe localizada en la glotis. Noventa y un pacientes fueron tratados con microcirugía láser transoral y 29 pacientes recibieron radiotera- pia. La supervivencia libre de recurrencia se estudió durante los primeros cinco años después del tratamiento primario. Se realizaron curvas de supervivencia de Kaplan-Meier y modelos de regresión de Cox. La incidencia acumulada de recurrencia del cáncer de glotis fue del 62,6% en los tratados con microcirugía láser transoral y del 65,5% en los tratados con radioterapia. Esto condujo a una reducción del riesgo absoluto del 2,9% (IC del 95%: -17,1 a 22,8) y un número necesario para tratar de 35 pacientes. Los pacientes que recibieron microciru- gía transoral con láser tuvieron un riesgo 17% menor de recurrencia del cáncer de glotis que los tratados con radioterapia (razón de riesgo, HR = 0,83; IC del 95%: 0,42 a 1,64; d de Cohen = 0,65). En las etapas iniciales del carcinoma glótico de células escamosas, el tratamiento con microcirugía láser transoral muestra una tendencia a una mayor supervivencia libre de recidivas que el tra- tamiento con radioterapia radical en los primeros cinco años de intervención. Los pacientes no fueron asignados aleatoriamente a un grupo de tratamiento, lo que podría afectar a la generalización de nuestros hallazgos.


Received: 05-08-2020 Accepted: 16-09-2020


INTRODUCTION


Squamous cell carcinoma (SCC) of the larynx is the most common malignant tumor of the head and neck (1). It is estimated that in 2018, approximately 39,900 new cases of laryngeal cancer were diagnosed in Europe, to which 19,600 deaths were attributed (2,3). Approximately 50% of laryngeal cancer is lo-

cated in the glottis(4), where it causes early dysphonia. At diagnosis, the majority of pa- tients with SCC of glottis are in the initial stages of the disease (TI or TII), without re- gional lymph node metastasis (N0) or dis- tance (M0). In fact, the incidence of clinically positive lymph nodes was almost 0% for T1 tumors and less than 2% for T2 (4). When di- agnosed in the early stages and treated early,


the prognosis is excellent (1) and complete healing can often be achieved (3).

Currently, the main treatment options for early glottic SCC (Stages I or II) are ra- diotherapy (RT) or surgical excision, both as a single treatment. Transoral laser micro- surgery (TLM) is the most widely used sur- gical technique and has replaced the open techniques previously performed (5). It is currently accepted that both treatment mo- dalities (RT and TLM) offer similar oncologi- cal results, as there is no evidence that one treatment is more effective than the other (6,7). In any case, no randomized clinical trials have been published to date, and there are retrospective studies with results in fa- vor of one treatment or the other. Therefore, the choice of treatment remains a controver- sial topic, and the decision usually depends on the experience of the team and the pa- tient’s preferences. In our institution, each specific case is presented to the Head and Neck Tumors Committee, composed of spe- cialists in otolaryngology, medical oncology, radiation oncology, pathology and radiol- ogy. Usually, the first treatment option for Stages I or II of patients with glottic SCC in our hospital is TLM. If the patient presents comorbidities that pose a high surgical risk that contraindicates general anesthetic, or presents an anatomy that makes it difficult to perform the surgical intervention (cervi- cal stiffness or difficult access to the larynx), the treatment with RT is chosen. It must be considered that treatment with TLM is more cost-effective than RT and represents lower hospital care costs. (8)

I and II (T1 and T2, N0 M0), who received treatment for the disease at the tertiary, “Lozano Blesa” Hospital (Zaragoza, Spain), either with TLM or RT, in the period between 2004 and 2016. Patients with laryngeal can- cer at a location other than the glottis, or whose histological diagnosis was different from SCC, were excluded. Patients with oth- er synchronous malignant tumors, patients treated by external partial surgery and those treated at other centers were also excluded. This study had been approved by the Ethic Committee of our hospital and was carried out in strict accordance with the Declaration of Helsinki (9).


Data collection

Data were collected from hospital medi- cal records. A total of 150 medical records of patients with larynx SCC located in the glottis were reviewed, of whom 30 subjects were rejected because they did not meet the inclusion criteria of the study, so that a sam- ple of 120 patients was finally obtained. The collected variables included data on sociode- mographic and behavioral factors, clinical findings, treatment, and the evolution of the disease.


Treatment

Patients who received radiotherapy were treated by a linear electron accelerator, ex- ternally, in three fields; with a radiation dose between 65 and 70 Gy, and a fraction of 180- 200 cGy/session, completing the treatment with about 30 sessions. The patients who re- ceived surgical treatment were operated by

The objective of this study was to evalu-

2

TLM with a CO

laser, performing different

ate the recurrence-free survival of the dis-

2

types of CO

laser cordectomy depending on

ease after RT or TLM as a treatment of glot- tic cancer in early stages, to compare the effectiveness of both treatments.


METHODS


Patients

For this study, we identified patients diagnosed with glottic SCC in early Stages

the tumor size and extension.


Follow-up

Once the treatment was started, the patient was closely monitored in a multidis- ciplinary way, through clinical examination and radiological study, depending on the evolution of the disease. After completing the treatment, a monthly clinical examina-


tion was performed during the first year of follow-up. Subsequently, the reviews were distanced and an annual examination was performed with cervical computed tomog- raphy and chest radiography. If a possible tumor recurrence was suspected, specific radiological tests were requested, and biop- sies of the lesion were performed if deemed necessary.


Statistical analysis

The statistical analysis and power cal- culation were carried out with IBM SPSS 22 and G*Power (http://www.psychologie.hhu. de/arbeitsgruppen/allgemeine-psychologie- und-arbeitspsychologie/gpower.html), re- spectively. The differences according to the type of primary treatment in the variables of the baseline study were evaluated through the Chi-Square test for the categorical vari- ables and the Student t-test for the continu- ous ones. The normality of the quantitative variables was previously assessed using the Kolmogorov-Smirnov test.

In a first step of the analysis of the fol- low-up study, the cumulative incidences of recurrence of glottis cancer were calculated according to the type of primary treatment, to subsequently calculate the absolute risk reduction and the number needed to treat (NNT). Next, the odds of recurrence of glot- tis cancer were calculated according to the type of primary treatment. Subsequently, Kaplan-Meier survival curves were performed according to the type of primary treatment. In addition, the risk of recurrence of glot- tis cancer during follow-up was calculated according to the type of primary treatment using multivariate Cox regression models (10). To explore the mechanisms of associa- tion between the type of primary treatment and recurrence of glottis cancer, a series of models were used in which models were gradually controlled by potential confound- ers. The univariate model includes the type of primary treatment. The multivariate mod- el additionally includes socio-demographic variables (gender and age), behavioral vari-

ables (tobacco consumption and alcohol consumption) and clinical variables (tumor stage and location of the tumor lesion). To check the assumption of proportional risks, the Schoenfeld (11) residuals graph was used for the continuous variables and the log-log curves graph for the categorical variables. The effectiveness of the adjustments made using Cox regression models was evaluated with the Royston determination coefficient (12). Cohen’s d was calculated to document differences in glottis cancer recurrence risk according to the type of primary treatment. This coefficient measures the effect size and may be especially relevant in cases of small samples, when the differences found do not reach statistical significance (13). The ef- fect size for the hazard ratio (HR) was clas- sified as small (~0.2), medium (~0.5), or large (~0.8) (14).

Finally, the calculation of the statisti- cal power was performed to detect an HR (hazard ratio) of recurrence of glottis can- cer associated with primary treatment in the population other than the unit.


RESULTS


Description of patients and tumor characteristics

After reviewing medical records, 150 pa- tients were selected for the study. Of these, 12 patients were excluded because they had an advanced stage of cancer during diagno- sis, 9 patients with laryngeal SCC located in a different place than the glottis, 3 patients with histological diagnosis other than SCC, 4 patients for being treated by external par- tial surgery and 3 patients for being treated at other institutions. Finally, a sample of 120 patients with laryngeal SCC located in the glottis in Stages I or II was obtained, of whom 91 (75.8%) received treatment with

TLM and 29 (24.2%) with RT.

The comparative results of the sociode- mographic, behavioral, and clinical vari- ables according to the type of treatment are shown in Table I. For sociodemographic vari-


TABLE I

image

COMPARISON OF SOCIODEMOGRAPHIC, BEHAVIORAL AND CLINICAL VARIABLES IN THE BASELINE STUDY ACCORDING TO THE TYPE OF TREATMENT.


TYPE OF PRIMARY TREATMENT


VARIABLES RT (N = 29) TLM (N = 91)



Age

Mean

63.9

SD

10.8

Mean

62.3

SD

11.4

p

0.512


Gender

N

%

N

%

p 0.111

Male

29

100

82

90.1

Female

0

0

9

9.9

Smoking status

0.448

Non-smoker

8

27.6

31

34.1

<= 1 packet/day

15

57.1

35

38.5

>1 packet/day Alcohol consumption Non consumer

6


22

20.7


75.9

25


59

27.5


64.8


0.381

Consumer

7

24.1

32

35.2


Tumoral stage

I


18


62.1


84


92.3


<0.001

II

Location of the tumor

Only one vocal cord

11


11

37.9


37.9

7


84

7.7


92.3


<0.001

Both vocal cords

5

17.2

3

3.3

Anterior commissure involvement

13

44.8

4

4.4

RT: radiotherapy; TLM: transoral laser microsurgery; SD: Standard deviation.


ables such as age and gender, there were no statistically significant differences between the treatment groups; the mean age was

63.9 years in the group of patients treated with RT, and 62.3 in the TLM group. The ma- jority of patients included in the study were men (100% of patients in the RT group, and 90.1% in the TLM group). Nor were there sig- nificant differences between the two groups regarding the consumption of tobacco and alcohol. In both groups, the majority of pa- tients were smokers (72.4% of patients in the RT group and 65.9% in the TLM group).

On the other hand, there were group differences in terms of tumor stage (p < 0.001). In the group of patients treated with RT, 18 patients (62.1%) were in Stage I, and 11 patients (37.9%) were in Stage II. How- ever, the majority of patients treated with TLM (84 patients, 92.3%) were in Stage I, compared to seven patients (7.7%) who were in Stage II. Regarding the location of the tu- mor, in the RT group, 44.8% of the patients presented a lesion that affected the ante- rior commissure (p < 0.001). In the group of patients treated with TLM, the majority


(92.3%) had a tumor confined to a single vo- cal cord, and only in 4.4% was the anterior commissure affected.


Survival analysis

The 120 patients included in the study were monitored for a maximum of five years, and cancer recurrence was analyzed in the patients of each treatment group (Tables II and III). The cumulative incidence of recur- rence of glottis cancer at the end of the fol- low-up was 62.6% in those treated with TLM and 65.5% of those treated with RT, resulting in an absolute risk reduction of 2.9% (95% CI -17.1 to 22.8) and a number needed to treat (NNT) of 35 patients (data not shown). The odds of recurrence of glottis cancer was 12% lower in the group of patients treated with TLM (Odds ratio = 0.88; 95% CI 0.35 to 2.11) compared to the group of patients treated with RT (Table II). Given that the 95% CI for the Odds ratio contains the null value (OR = 1), the differences in the proba- bility of recurrence of glottis cancer between the two treatments did not reach statistical significance (p = 0.792).


TABLE II

INCIDENCE RATE (PER 1.000 PERSON PER YEAR) AND INCIDENCE RATE RATIO OF RECURRENCE OF GLOTTIS CANCER ACCORDING TO THE TYPE OF PRIMARY TREATMENT.


Primary treatment

Incident cases, n (%)

OR

95% CI

RT (n=29)

19 (65.5)

1

-

TLM (n=91)

57 (62.6)

0.88

(0.35 – 2.11)

RT: radiotherapy; TLM: transoral laser microsurgery; OR: Odds ratio; CI: confidence interval.


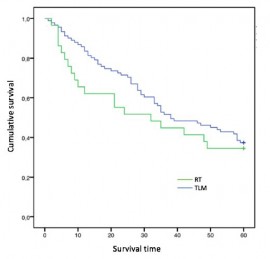
The mean survival time for recurrence of glottis cancer of the patients in the study was 37.2 months (95% CI: 33.4 to 41.2). Specifically, in the group of patients treated with TLM, it was 38.8 months (95% CI: 34.5

to 43.1) versus 32.5 months (95% CI: 23.9 to 41.1) of those patients treated with RT (Fig. 1). The comparison of survival curves

according to the type of treatment shows that, after five years of follow-up, the prob- ability of surviving recurrence of glottis can- cer is higher in patients who received TLM (Tarone-Ware test: p = 0.265), although it did not reach statistical significance.

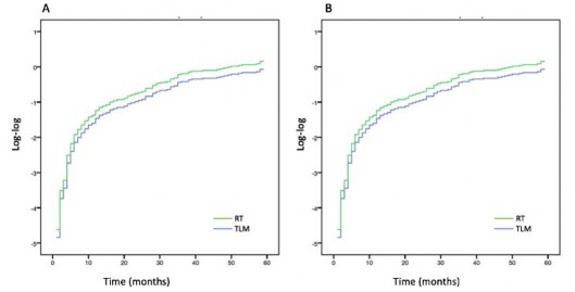
Univariate and multivariate Cox regres- sion analysis were performed for recurrence of glottis cancer as shown in Table III. In the unadjusted (univariate) model, those pa- tients treated with TLM had a 20% lower risk of recurrence of glottis cancer than those treated with RT (hazard ratio, HR = 0.80; 95% CI 0.47 to 1.34). The risk found did not reach statistical significance (p =0.397). The assumption of proportional hazards over the follow-up time of the categorical variable “type of primary treatment” was verified by visual inspection of the log-log curves of the univariate model (Fig. 2). As both curves are approximately parallel, we conclude that the HR of the variable “type of primary treat- ment” remained constant throughout the follow-up time.

When adjusting the model for the rest of the sociodemographic characteristics (gender and age), behavioral variables (to- bacco and alcohol consumption), and clini- cal variables (tumor stage and location of the tumor lesion), those patients treated with TLM had a 17% lower risk of cancer re- currence of glottis than those treated with RT (hazard ratio, HR = 0.83; 95% CI 0.42 to 1.64), once the effect of potential confound- ers and/or modifiers of the effect was con- trolled (p = 0.586). This effect did not reach statistical significance in the multivariate model (power = 0.173), but its magnitude was considered medium (Cohen’s d = 0.65).

By visual inspection of the log-log curves of the fully adjusted model (Fig. 2B), the assumption of proportional hazards over the follow-up time of the categorical variable “type of primary treatment” was verified. Given that both curves are approximately parallel, we conclude that, once the effect of the rest of the covariates of the multivari- ate model on the risk of recurrence of glottis


TABLE III

image

COX REGRESSION OF RECURRENCE OF GLOTTIS CANCER ACCORDING TO THE TYPE OF PRIMARY TREATMENT.

Disease recurrence

Primary treatment Univariate Model Multivariate Model


HR (95% CI)

p

HR (95% CI)

p

RT

1

0.397

1

0.586

TLM 0.80

(0.47-1.34)

0.83

(0.42-1.64)

image


RT: radiotherapy; TLM: transoral laser microsurgery; CI: confidence interval; HR: Hazard ratio.

Multivariate Model included terms for sociodemographic variables (gender and age), behavioral variables (tobac- co consumption and alcohol consumption) and clinical variables (tumor stage and location of the tumor lesion).


image


Fig. 1. Recurrence-free survival curves according to the type of treatment.


image

Fig. 2. Log-log survival curves according to the type of treatment. A: Univariate model; B: multivariate model, ad- justed by sociodemographic, behavioral, and clinical variables.


cancer was controlled, the HR of the variable “type of primary treatment” remained con- stant throughout the follow-up period.

To quantify the goodness of fit of the multivariate model, the Royston determina- tion coefficient was calculated, obtaining a value of 0.15. That is to say, 15% of the vari- ability of the survival time to recurrence of glottis cancer of the patients under study is explained by the variable “type of primary treatment” and by the rest of the adjust- ment variables.


DISCUSSION


The sociodemographic characteristics of the patients in our study are consistent with the published literature on laryngeal SCC. The mean age at the time of diagnosis was 63 years, and a male predominance was observed, with a male: female ratio of 12.3:

1. Likewise, we observed the relationship between the appearance of laryngeal cancer and tobacco consumption, as 67.5% of the patients included in the study were smokers, or had been smoking in the 10 years prior to diagnosis (15-17).

There are no randomized controlled clinical trials to verify possible differences in the survival of glottis cancer in early stages between the two primary treatment alter- natives. As different published systematic reviews and meta-analyses reflect, the ma- jority are case series and comparative retro- spective studies. This work is retrospective, and it compares recurrence-free survival of glottis cancer in early stages based on the type of treatment patients receive to deter- mine treatment effectiveness, as in similar reviewed studies.

This study presents the limitations typi- cal of retrospective studies. The patients were not assigned randomly to the treatment groups but were given the treatment that the clinical team considered most appropriate for each case, which is why the group of patients treated with TLM is larger than those treated with RT (75.8% vs. 24.2%). This might have

influenced the results and, therefore, the generalization of our findings. However, this imbalance between the number of patients in the treatment groups have occured in previ- ous retrospective studies. Currently, most of the early-stage squamous cell carcinomas of glottic area are treated with TLM. To avoid this limitation, future studies should use pro- pensity score matching.

The greater the extent of the tumor, the greater the difficulty presented for its surgical resection. Some patients have an exposure of the glottis area that is very dif- ficult to access with the laryngoscope; in these cases, the best treatment option is RT because, with TLM, there could be near or positive margins (18). For this reason, the study shows that patients treated with RT were at a higher stage of cancer. Of the 18 patients in Stage II, 11 patients (61.1%) were treated with RT, compared with the re- maining seven patients (38.8%), who were treated with TLM. However, most of the pa- tients in Stage I (84 patients out of 102, that is, 82.3%) were treated with TLM, compared with 17.6% of patients in Stage I, who were treated with RT.

Something similar occurs concern- ing the tumor location, as tumors located in the anterior commissure offer an added difficulty to resection, because this area is sometimes difficult to access with the laryn- goscope and, therefore, to influence with the laser and perform a resection with safety margins. In addition, it is recently accepted that tumors that affect the anterior commis- sure are more likely to progress or recur due to the characteristics of this area (19, 20), which facilitate the spread of cancer cells be- cause the cartilaginous barrier is weaker at this location. This is why, in patients whose tumor originates at the anterior commis- sure, we favor treatment with RT, as can be seen in our work, given that of the 17 pa- tients who had affectation in the anterior commissure, 13 (76.4%) received RT, com- pared to the 4 patients (23.5%) who were treated with TLM.


According to the results of our study, after five years of follow-up, the probability of surviving the recurrence of glottis can- cer is higher in patients treated with TLM than in those treated with RT. Although this did not reach statistical significance in the multivariate model, the effect size could be considered medium. Specifically, the mean survival time for glottis cancer to recur in patients treated with TLM was 38.8 months versus 32.5 months of those patients treated with RT. In the multivariate Cox regression model, once the confounding effect of the sociodemographic, behavioral, and clinical variables was eliminated, those patients who received TLM had a 17% lower risk of recur- rence of glottis cancer than those treated with RT. The sensitivity analysis support this finding. In the literature published on this subject, there are different results in favor of one type of treatment to another. The results of this work coincide with those ob- tained in a study of a similar methodology by De Santis et al. (21), in which no difference in disease-free survival was demonstrated be- tween the two treatment groups after strati- fication by confounding variables.

However, other retrospective studies such as the recent publications of Chung et al. (22) and Shelan et al. (23) obtained bet- ter oncological results with RT compared to TLM. A meta-analysis published in 2018 by Guimaraes et al. (24) on the treatment in T1 of glottis concludes that patients ini- tially treated with TLM have a longer general and specific survival than those treated with RT. However, in the majority of systematic reviews (25-27) and meta-analyses (28-32) published to date, there are no statistically significant differences in terms of overall and specific disease survival between the two treatment modalities.

One of the future lines of research of this workgroup is to collect information on the quality of life and voice quality of pa- tients after RT or TLM, as well as to assess the economic cost of each treatment (8). Both aspects are important, considering

that most of the previous publications agree that neither of the therapeutic options ob- tained better oncological results, and can guide the choice of treatment.

As a conclusion, TLM in the early stages (I or II) of treatment of patients with glottic SSC, offers greater survival to the recurrence of the disease compared to the treatment with radical RT. However, this finding did not reach statistical significance. Both treatments ob- tained good oncological results, so multicenter studies and meta-analyses are needed to reach stronger conclusions that facilitate the choice of one treatment or the other.


ACKNOWLEDGEMENTS


The author is grateful to José Miguel Sebastián, Félix de Miguel, Fernando García and Yolanda Lois from “Lozano Blesa” Hospi- tal for their contribution and support.


REFERENCES


  1. Quer Agustí M, López Vila M. Clinical cha- racteristics of laryngeal tumors. In: Suárez Nieto C, director and general coordinator. Treaty of Otolaryngology and Head and Neck Surgery, volume IV: Oncological sur- gery of the head and neck and the skull base. 2nd ed. Madrid: Editorial Médica Pa- namericana, S.A. 2009.

  2. Bray F, Ferlay J, Soerjomataram I, Sie- gel RL, LA Tower, Jemal A. Global can- cer statistics 2018: GLOBOCAN estimates of incidence and mortality worldwide for

    36 cancers in 185 countries. CA Cancer J Clin 2018; 68: 394-424. doi:10.3322/

    caac.21492.

  3. Ferlay J, Colombet M, Soerjomataram I, Dyba T, Randi G, Bettio M, Gavin A, Visser O, Bray F. Cancer incidence and mortality patterns in Europe: Estimates for 40 coun- tries and 25 major cancers in 2018. Eur J Cancer 2018; 103: 356-387. doi: 10.1016 /

    j.ejca. 2018.07.005

  4. Shah J, Patel S. Larynx and trachea. In: Shah J, director and general coordinator. Head and Neck Surgery and Oncology. 5th ed. Madrid: Elsevier España, S.A.; 2020.


  5. Canis M, Ihler F, Martin A, Matthias C, Steiner W. Transoral laser microsurgery for T1a glottic cancer: review of 404 cases. Head Neck 2015;37:889-895. doi:10.1002/ hed.23688.

  6. National Comprehensive Cancer Network.

    Head and Neck Cancers (Version 2.2018). http://www.nccn.org/professionals/physi- cian_gls/pdf/head-and- neck.pdf.

  7. Iglesias Docampo LC, Arrazubi Arrula V, Baste Rotllan N, Carral Maseda A, Cirau- qui Cirauqui B, Escobar Y, Lambea Sorro- sal JJ, Pastor Borgoñón M, Rueda A, Cruz Hernández JJ. SEOM clinical guidelines for the treatment of head and neck cancer (2017). Clin Transl Oncol 2018; 20: 75-83. doi: 10.1007 / s12094-017-1776-1.

llo. Resultados de un registro hospitalario. Acta Otorrinolaringol Esp 2019;70:272- 278 https://doi.org/10.1016/j.otorri.2018.

05.006.

  1. Kawakita D, Matsuo K. Alcohol and head and neck cancer. Cancer Metastasis Rev 2017;36:425-434. doi:10.1007/s10555-017

    -9690-0.

  2. Tirelli G, Gatto A, Fortunati A, Marzoli- no R, Giudici F, Boscolo Nata F. Predicting laryngeal exposure in microlaryngosco- py: External validation of the laryngosco- re. Laryngoscope 2019;129:1438-1443. doi:10.1002/lary.27683.

  3. Hakeem AH, Tubachi J, Pradhan SA. Sig- nificance of previous commissure involve- ment in early glottic squamous cell car-

  1. Diaz-de-Cerio P, Preciado J, Santaolalla

    2

    cinoma treated with transoral CO

    laser

    F, Sanchez-Del-Rey A. Cost-minimisation and cost-effectiveness analysis comparing transoral CO2 laser cordectomy, laryn- gofissure cordectomy and radiotherapy for the treatment of T1-2, N0, M0 glottic carcinoma. Eur Arch Otorhinolaryngol 2013;270:1181-1188. doi:10.1007/s00405-

    012-2139-8.

  2. World Medical Association I. Declaration of Helsinki: ethical principles for medical research involving human subjects. J Indian Med Assoc 2009;107:403–405.

  3. Cox DR. Regression models and life tables.

    Journal of the Royal Statistical Society: Series B (Statistical Methodology). 1972; 34:187-220.

  4. Schoenfeld D. Partial Residuals for The Pro- portional Hazards Regression Model. Bio- metrika. 1982; 69 (1):239-241.

  5. Royston P. Explained variation for survival model. The Stata Journal 2006; 6:83-96.

  6. Cohen J. Statistical Power Analysis for the Behavioral Sciences, 2nd ed. Hillsdale, NJ: Lawrence Erlbaum Associates; 1988.

  7. Azuero A. A note on the magnitude of ha- zard ratios. Cancer 2016; 122: 1298–1299.

  8. Jethwa AR, Khariwala SS. Tobacco-related carcinogenesis in head and neck cancer. Cancer Metastasis Rev 2017;36:411-423. doi:10.1007/s10555-017-9689-6.

  9. León X, López M, García J, Montserrat JR, Gras JR, Kolanczaka KA, Quer M. Carac- terísticas epidemiológicas de los pacientes con carcinomas escamosos de cabeza y cue-

microsurgery. Laryngoscope 2013; 123:

1912-1917.

  1. Alkan U, Nachalon Y, Shkedy Y, Yaniv D, Shvero J, Popovtzer A. T1 squamous cell carcinoma of the glottis with anterior commissure involvement: Radiotherapy versus transoral laser microsurgery. Head neck 2017; 39: 1101-1105. doi: 10.1002 / hed.24723.

  2. De Santis RJ, Poon I, Lee J, Karam I, Ene- pekides DJ, Higgins KM. Comparison of survival between radiation therapy and tran- soral laser microsurgery for early glottic can- cer patients; a retrospective cohort study. J Otolaryngol Head Neck Surg 2016; 45: 42.

  3. Chung SY, Kim KH, Keum KC, Koh YW, Kim SH, Choi EC, Lee CG. Radiotherapy versus cordectomy in the management of early glottic cancer. Cancer Res Treat 2018; 50: 156-163. doi: 10.4143/crt. 2016.503.

  4. Shelan M, Anschuetz L, Schubert AD, Bojaxhiu B, Dal Pra A, Behrensmeier F, Aebersold DM, Giger R, Elicin O. T1-2 glottic cancer treated with radiotherapy and / or surgery. Strahlenther Onkol 2017; 193: 995-1004. doi: 10.1007 / s00066-017-

    1139-4.

  5. Guimarães AV, Dedivitis RA, Matos LL, Aires FT, Cernea CR. Comparison between transoral laser surgery and radiotherapy in the treatment of early glottic cancer: A sys- tematic review and meta-analysis. Sci Rep 2018; 8: 11900. doi: 10.1038 / s41598-018-

    30218-x.


  6. Yoo J, Lacchetti C, Hammond JA, Gilbert RW; Head and Neck Cancer Disease Site Group. Role of endo laryngeal surgery (with or without laser) versus radiotherapy in the management of early (T1) glottic cancer: a systematic review. Head neck 2014; 36: 1807-1819. doi: 10.1002 / hed.23504.

  7. Warner L, Lee K, Homer JJ. Transoral la- ser microsurgery versus radiotherapy for T2 glottic squamous cell carcinoma: a sys- tematic review of local control outcomes. Clin Otolaryngol 2017; 42: 629-636. doi:

    10.1111 / coa.12790.

  8. Sjögren EV. Transoral laser microsurgery in early glottic lesions. Curr Otorhinolaryngol Rep 2017; 5: 56-68. doi: 10.1007 / s40136-

    017-0148-2.

  9. Gioacchini FM, Tulli M, Kaleci S, Bondi S, Bussi M, Re M. Therapeutic modalities and oncologic outcomes in the treatment of T1b glottic squamous cell carcinoma: a systematic review. Eur Arch Otorhinolaryn- gol 2017; 274: 4091-102. doi: 10.1007/ s00405-017-4736-z.

  10. Mendenhall WM, Werning JW, Hinerman RW, Amdur RJ, Villaret DB. Management of T1-T2 glottic carcinomas. Cancer 2004; 100: 1786- 1792.

  11. Abdurehim Y, Hua Z, Yasin Y, Xukurhan A, Imam I, Yuqin F. Transoral laser surgery versus radiotherapy: systematic review and meta-analysis for treatment options of T1a glottic cancer. Head neck 2012; 34: 23-33. doi: 10.1002 / hed.21686.

  12. Mo HL, Li J, Yang X, Zhang F, Xiong JW, Yang ZL, Tan J, Li B. Transoral laser micro- surgery versus radiotherapy for T1 glottic carcinoma: a systematic review and meta- analysis. Lasers Med Sci 2017; 32: 461-467.

  13. Huang G, Luo M, Zhang J, Liu H. Laser sur- gery versus radiotherapy for T1a glottic car- cinoma: a meta-analysis of oncologic outco- mes. Otolaryngol Act 2017; 137: 1204-1209. doi: 10.1080/00016489.2017.1353706.